Final report for LS18-291
Project Information
Cotton and peanut are major crops in the Southeast, grown on over 10 million acres and worth $16 billion in 2016. Sod-based rotation (2 years of bahiagrass-1 year cotton-1 year peanut) is an economically viable and more sustainable alternative to the traditional cotton-cotton-peanut rotation. Incorporating winter cattle grazing of bahiagrass into the sod-based rotation increases the profitability of the system and results in greater yields and more fertile soil.
Plant-parasitic nematodes are threats to cotton and peanut production with yield suppression estimated at up to 10-15 percent in some Southeastern states, or up to $900 million in losses based on the total value of these crops. Many nematodes decline when bahiagrass is grown, suggesting SBR may be a good system for managing nematodes. Additionally, nematodes can infest deep in the soil profile and crop rotation is one of the few practices that affects nematodes at those depths. This study will assess the level of nematode management provided by SBR, particularly if it is sufficient to reduce or eliminate nematicide application. Reducing nematicide application would save growers money and reduce impacts on the environment.
In addition to pathogens and pests, agricultural soil contains many beneficial nematodes, fungi and bacteria that do not infect plants. These beneficial organisms fill important roles in agricultural systems such as generating natural fertilizers by transforming nutrients into forms that plants can take up. Some beneficial organisms manage pathogen populations by feeding on pathogens or producing compounds that are toxic to pathogens. Because of these services, beneficial organisms can increase crop productivity and reduce reliance on fertilizer and pesticide inputs. SBR has the potential to stimulate these beneficial organisms because crop rotation, manure addition, and cover cropping -- all components of SBR -- promote populations of beneficial organisms.
Based on these needs, the objectives of this project are to:
- Assess the impacts of sod-based and conventional crop rotations on plant-parasitic nematodes and beneficial soil organisms at different depths in the soil profile.
- Assess whether growers can eliminate nematicide application in SBR while maintaining sufficient nematode control.
- Determine the impacts of cattle grazing in SBR on plant-parasitic nematodes and beneficial soil organisms.
- Engage with growers and share research findings through extension efforts.
Cooperators
- - Producer
- - Producer
- - Producer
Research
Research Objective 1 (Assess the impacts of sod-based crop rotation on plant-parasitic nematodes, beneficial nematodes, and soil microbial communities at different depths in the soil profile compared to a conventional peanut-cotton-cotton crop rotation.)
Briefly, for this objective, nematodes and the microbial community are being measured at different soil depths at the research site to assess the impact of sod-based and conventional rotation. This objective is being completed primarily at the sod-based rotation plot research site at the North Florida Research and Education Center (NFREC) in Quincy, Florida. That site is infested with reniform nematode. This study has been in place for nearly 20 years, making it a unique site for sod-based rotation research.
The study has a split-plot arrangement with 3 replicates, main plots of 10 crop rows that are 68' long, and the treatments are outlined below (42 plots):
- Main plots are blocks of
- Irrigation provided by overhead, lateral-move systems
- Rain-fed
- Subplots receive crop sequence treatments with each phase of sod-based and conventional rotation present each year:
Sod-based rotation
- Cotton
- Peanut
- 1st-year bahiagrass
- 2nd-year bahiagrass
Conventional rotation
- 1st-year cotton
- 2nd-year cotton
- Peanut
Measurements for this experiment:
- Soil populations of plant-parasitic nematodes
- Plant-parasitic nematodes in cotton roots
- Soil populations of beneficial nematodes
- Soil fungal and bacterial communities
- Activity of carbon and nitrogen degradation enzymes released by soil microbes
- Fungal and bacterial communities in cotton roots
- Crop yield
- Soil nutrients
Soil populations of nematodes, fungi, and bacteria are being measured to 4 feet deep in the soil profile. Each set of measurements was collected in 2017 and 2018. The schedule for data collection is:
- Pre-plant (March): soil nematodes and microbes to 4 feet using a hydraulic geoprobe
- Midseason (2-3 months after planting):
- plant-parasitic nematodes and microbes in cotton roots
- Harvest (October-November): cotton and peanut yield
- Post-harvest (within 2 weeks):
- soil nematodes and microbes to 4 feet
- soil nutrients
- Winter (December-January): soil nematodes and microbes to 4 feet
Nematodes and microbes are being assessed from separate soil subsamples for each plot and time point. Plant-parasitic and beneficial nematodes will be extracted from 100 cm3 soil using a standard sucrose floatation-centrifugation technique (Jenkins, 1964) followed by quantification using a microscope.
Cotton root samples were collected by digging 3 cotton plants from each of 3 locations in each plot (9 plants total). Separate root samples were used for nematode and microbial analysis. Nematodes were be extracted from 3 root systems using a modified blender method (Hussey and Barker, 1973) and quantified using a light microscope. Root samples were collected at midseason for cotton only because the predominant plant-parasitic nematodes of peanut and bahiagrass roots at the site, ring and spiral nematodes, are usually present only in the soil. In contrast, adult females of reniform nematode, the primary plant-parasite of cotton at the site, remain attached to the root along with the egg masses they produce.
DNA amplicon sequence approach will be performed to quantify the soil and root microbial communities. After collecting soil or roots as described above, samples will be preserved at -80C for DNA extraction. Total DNA will be extracted from an individual sample using the CTAB approach for root samples and MoBio Power soil kit for soil samples (Liao et al., 2014). Multiplex PCR will be applied for amplicon libraries (Lundberg et al., 2013). To identify the diversity of microbial community, different primer sets will be used to access different community structures of microbes, including 16S rDNA for bacteria, SSU for AMF (Rosendahl, 2008) , and ITS for whole fungal community (including beneficial and pathogenetic fungi). PCR samples will be sequenced using MiSeq v3 300 bp-PE kit at Interdisciplinary Center for Biotechnology Research at UF. The potential activities of extracellular enzymes involved in soil carbon and nutrient cycling will be analyzed using fluorometric and colorimetric procedures on a microplate reader (German et al., 2011).
Beginning in 2019, farms with sod-based and conventional rotation will be sampled for nematode populations as described above. A farm-scale SBR research-demonstration site is also being maintained in Marianna, FL as part of this project.
Research Objective 2 (Assess the impact of nematicide application on non-target, beneficial organisms and determine if growers can eliminate nematicide application in sod-based rotation while maintaining plant-parasitic nematode management and crop yield.)
This objective will be completed primarily at the NFREC-Quincy rotation research site described above. Briefly, nematicide-treated and untreated areas are in place at the Quincy research site and plant-parasitic nematode populations as well as crop yield will be measured in both rotations to determine if nematicide application can be eliminated in sod-based rotation. If crop yields are similarly high and plant-parasitic nematode population densities are similarly low in nematicide-treated and untreated portions of sod-based rotation, then growers that employ sod-based rotation may be able to avoid nematicide application. Similarly, beneficial nematodes and the microbial community will be quantified with and without nematicide application to determine the impact of nematicide application on beneficials.
At the Quincy research site, Velum Total (Bayer CropScience) nematicide has been applied as a liquid, in-furrow spray at planting to the north half (10 rows/30 feet) of each cotton and peanut subplot while the south half (10 rows/30 feet) has not been treated. Velum Total has active ingredients fluopyram (nematicide/fungicide) and imidicloprid (insecticide), and is being used because it is the most common of the few liquid nematicides available. Only shallow soil samples (to 1 foot) will be collected for the nematicide experiment described in this objective because it would take too many resources to take deep samples from both nematicide-treated and untreated plots. The nematicide experiment will be treated as a separate experiment from the deep sampling experiment described in objective 1. The nematicide experiment at the Quincy site has a split-split plot arrangement with the following treatments:
- Main plots receive irrigation treatments:
- Irrigation provided by overhead, lateral-move systems
- Rainfed
- Subplots receive crop sequence treatments:
Sod-based rotation
- Cotton
- Peanut
Conventional rotation
- 1st-year cotton
- 2nd-year cotton
- Peanut
- Sub-subplots receive nematicide treatments:
- Treated with in-furrow nematicide
- Not treated with nematicide
Measurements for the nematicide experiment (Objective 2):
- Soil populations of plant-parasitic nematodes (to 1 foot deep)
- Plant-parasitic nematodes in cotton roots
- Soil populations of beneficial nematodes (to 1 foot deep)
- Soil fungal and bacterial communities (to 1 foot deep)
- Activity of carbon and nitrogen degradation enzymes released by soil microbes
- Fungal and bacterial communities in cotton roots
- Crop yield
Each set of measurements are being collected in 2017 and 2018 for cotton and in 2018 and 2019 in peanut. The schedule for data collection is:
- Before row crop planting (April): soil nematodes and microbes (push probe samples to 12")
- Midseason (2-3 months after planting):
- nematodes and microbes in soil
- plant-parasitic nematodes and microbes in cotton roots
- September-October (around harvest): soil nematodes and microbes
- Harvest (October-November): cotton and peanut yield
Please note that objective 3 in original proposal (assessing grazing effects) was removed in final project due to reduced funding level from original proposal. The grazing site continues to be maintained as a demonstration and for other projects.
Research Objective 1 (Assess the impacts of sod-based crop rotation on plant-parasitic nematodes, beneficial nematodes, and soil microbial communities at different depths in the soil profile compared to a conventional peanut-cotton-cotton crop rotation.)
Our hypotheses for this objective were: (1) Sod-based rotation will better manage plant-parasitic nematodes and soil-borne plant pathogens throughout the soil profile than conventional rotation; (2) Beneficial nematode and microbe populations will be more robust in sod-based rotation, particularly deep in the soil profile.
Results relating to hypothesis 1 of objective 1 (sod-based rotation will better manage plant-parasitic nematodes and soil-borne plant pathogens throughout the soil profile than conventional rotation):
Across all seasons, reniform nematode abundances have been highest in the upper soil profile (0-1 foot) and decreased incrementally as depth in the soil profile increases (Figure 1 from Preplant 2017 shown as an example). Even at 3-4 feet deep in the soil profile, relatively substantial reniform nematode populations reside, suggesting that the most effective management strategies will be effective deep in the soil profile. Reniform nematode depth distribution did not change substantially across seasons, suggesting vertical movement of this nematode in this system may be minimal.

In preplant and winter samples, crop effects have been similar at all soil profile depths and reniform nematode abundances have been greater in conventional rotation, particularly cotton, than sod-based rotation (Figure 2). In fall, the impact of cropping system on reniform nematode varied by depth in the soil profile (Figure 3, Fall 2018 shown as example). At shallow depths (0-1 feet), trends were similar to preplant/winter except that populations increased in sod-based cotton and were similar to conventional phases. At 1-2 feet, reniform nematode soil populations were still lower for sod-based than conventional rotation. At deeper depths, reniform nematode populations were low and there were not meaningful differences among crop phases.


Crop rotation impacts and vertical distribution in the soil profile vary by particular plant-parasitic nematode. For example, ring nematodes are present in this study and are considered a minor pest, particularly of peanut, and have a wide host range. Across seasons, ring nematode abundances were consistently greater in SBR peanut than most other crop phases, particularly conventional cotton, at 0-1 feet deep in the soil profile (Figure 4). Ring nematodes abundances crashed below 1 foot deep in the soil profile. This highlights that there is no perfect crop rotation for all nematodes. Sod-based rotation works well for reniform nematode because peanut and bahiagrass are non-hosts. Based on results of this study, cotton is a poor host of the ring nematode population at this site, so the 2 years of cotton in conventional rotation work better than SBR for reducing its abundances. In practical terms, ring nematode is not an important pest, so sod-based rotation is still a better choice in this scenario. However, these trends highlight the importance of knowing the nematodes in a field and how a particular rotation may affect them. It also suggests ring nematode will easier to manage than reniform nematode with management strategies that affect shallow layers (such as nematicide application). Continuing to explore depth distribution for various important plant-parasitic nematodes has the potential to improve management of these pests.

To conclude, our hypothesis that SBR will help manage plant-parasitic nematodes better than conventional rotation was generally supported. Sod-based rotation helped manage reniform nematode, the major plant-parasitic nematode at the site, but was not effective for ring nematode, a minor plant-parsitic nematode. Monitoring for plant-parasitic nematodes will continue to be important for growers that employ SBR. The results from this section of objective 1 are being prepared as a manuscript for peer-review publication.
Hypothesis 2 of objective 1 (Beneficial nematode and microbe populations will be more robust in sod-based rotation, particularly deep in the soil profile), here are the preliminary results for two groups of beneficial nematodes (fungal-feeding nematodes and bacteria-feeding nematodes):
For fungal-feeding nematodes (beneficial nematodes that feed on fungi, which plays a role in nutrient mineralization), the results support our hypothesis that abundances will be more robust in SBR, but do not support the clause of the hypothesis that differences will be more apparent deeper in the soil profile. Figure 5 shows fungal-feeding nematode results, which are similar to other seasons assessed. Consistently across seasons, at the 0-1 foot soil depth, fungal-feeding nematode abundances were greater in bahiagrass, particularly 2nd-year bahiagrass, than any other crop phase (Figure 5). Deeper than 1 foot deep in the soil profile, there were no differences among crop phases and nematode abundances were much lower than in the 0-1 foot depth. The relatively high C:N ratio found in bahiagrass is likely the driver for greater fungal-feeding nematode populations in SBR.

In general, trends for bacteria-feeding nematodes (beneficial nematodes that feed on bacteria and also play a role in nutrient mineralization) did not match with our hypothesis either. Similar to fungal-feeding nematode abundances, bacteria-feeding nematode abundances were greatest at 0-1 feet deep in the soil profile and were insubstantial below 1 foot deep in the soil profile (Figure 6). Crop effects on bacteria-feeding nematodes were not biologically meaningful as they generally occurred deep in the soil profile where populations were very low.

Omnivores (nematodes that may feed on fungi or other nematodes) had perhaps the most intriguing results of any beneficial nematodes. Omnivore soil populations tended to be greater in cotton phases and, less consistently, bahiagrass phases (Figure 7). Differences were more pronounced at the 1-2 and 2-3 foot soil depths, unlike other beneficial nematodes that had low abundances below the plow layer (0-1 foot). This raises the possibility that the omnivores present are feeding on reniform nematode, which is why populations are high in cotton, even deeper in the soil profile.

Assessment of the microbial community from deep soil profiles (1-4 feet) has not yet been successful due to challenges in extracting DNA from these layers with high clay content (and likely low microbial community population densities). For this reason, the microbial community was assessed only in the surface soil layer (0-1 feet) and roots. However, spurred in part by this project, the Liao lab has developed a published methodology for extracting microbial DNA from deep soil profiles (Guerra et al., 2020), which may be used for this project in the near future.
Influence of crop rotation and irrigation on the microbial community in the soil plow layer for cotton has been published (Zhang et al., 2022) in Applied Soil Ecology. There were minimal differences in overall bacterial soil community diversity and structure among rotations (data not shown), but there were some differences among specific bacteria taxa. Certain groups of carbon-associated bacteria (Figure 8A) varied by rotation phase, with abundances lowest in 1st-year cotton conventional rotation. Nitrogen-associated bacteria taxa also varied by rotation phase, sometimes interacting with irrigation status (Figure 8B).

Results for microbial communities in cotton roots are also under review for peer-reviewed publication. Bacterial community diversity in cotton roots was not affected by crop rotation or irrigation, but did vary by year (Figure 9A), which is similar to bacteria-feeding nematode results. In contrast, fungal community diversity in cotton roots was greater in SBR than conventional rotation (Figure 9C). An on-going question is how much beneficial soil communities (nematodes and microbes) contribute to crop production. In this system, increasing abundances of a number of fungal families was correlated with increased cotton yield in SBR, but not conventional rotation (Figure 10). This suggests a positive link between fungal soil communities and cotton production in diverse rotation.


In summary, our second hypothesis for objective 1 was partially supported. Among benefical soil organisms assessed, fungi and fungal-feeding nematodes seemed to stimulated by SBR, but bacteria and bacterial feeding nematodes were less affected. Most groups of beneficial organisms are scarce below the plow layer and do not vary by rotation system. Omnivorous nematodes were the exception, and were more affected below the plow layer (1-3 feet), which supported our hypothesis, but increased with cotton phases, which did not support our hypothesis that SBR would increase beneficial nematodes.
Research Objective 2 (Assess the impact of nematicide application on non-target, beneficial organisms and determine if growers can eliminate nematicide application in sod-based rotation while maintaining plant-parasitic nematode management and crop yield.)
Our hypotheses for this objective were: (1) Sod-based rotation will manage plant-parasitic nematodes sufficiently without nematicide application; (2) Nematicide application will reduce populations of non-target, beneficial nematodes and microbes.
Results for hypothesis 1 (SBR will manage nematodes without nematicide):
No major plant-parasitic nematodes were found in peanut phases, so this objective focuses on cotton production. Results have been published in Schumacher et al. (2020) and are summarized here. Sod-based rotation consistently reduced reniform nematode abundances in soil and roots (Figure 11) compared with conventional rotation. In some seasons, reniform nematode populations were also lower for 1st-year than 2nd-year conventional cotton. Nematicide application did not reduce reniform nematode populations in any season (data not shown), but nematode abundances should be viewed as only a portion of the picture when it comes to nematode management. Early season nematode control may lead to greater root growth and ultimately higher nematode abundances despite nematicides protecting from nematode damage.

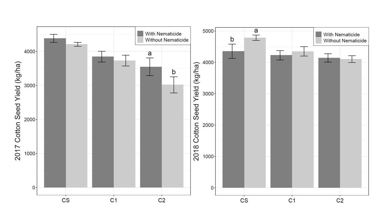
In both 2017 and 2018, cotton yield was greater in sod-based than conventional cotton (1644 vs 1372 lb/acre lint in 2017 and 1815 vs 1708 lb/acre lint in 2018), but yield response to nematicide application varied by crop rotation. In 2017, there was not a significant yield response to nematicide application in the higher-yield treatments with less nematode pressure, namely cotton following bahiagrass and 1st-year cotton in the conventional rotation. In 2nd-year conventional cotton, there was a significant yield increase with nematicide application which would have resulted in an economic return of approximately $120/acre (Figure 12). In 2018, there was no positive yield response to nematicide application in any rotation phase and nematicide application decreased cotton yield in sod-based rotation (Figure 12).

The cotton yield results from this study, particularly 2017, provide evidence to support our hypothesis that sod-based rotation adequately manages reniform nematode without nematicide application. Namely, in this study, nematicide application did not provide any value for increasing cotton yield or managing reniform nematode in sod-based rotation. Reniform nematode abundances were low in sod-based rotation and yields were high, suggesting that reniform nematode was already adequately managed by rotation and that nematicide application may not be needed in sod-based rotation. In conventional rotation, nematicide application with fluopyram increased yield in one season under high reniform nematode pressure, but was otherwise ineffective. As new management techniques that may be more effective (new resistant varieties, new chemistries) become available, it may shift calculations about whether additional nematode management is beneficial in SBR.
Results for hypothesis 2 (nematicide will affect non-target, beneficial organisms):
Fluopyram nematicide application had minimal effects on non-target, beneficial nematodes. Fungal-feeding and bacteria-feeding nematodes were not affected by fluopyram nematicide application (data not shown). In cotton production, fluopyram application decreased ominvore populations in 2018, but not 2017 (Table 1). In peanut production, fluopyram did not affect omnivores in either year.
In summary, our results suggest that impacts of this particular nematicide on non-target nematodes is relatively minimal, in contrast to our initial hypothesis. Further analysis does need to be done to assess if different genera of nematodes (even of the same feeding habit) were more sensitive to nematicide that overall feeding groups. It also worth noting that nematicide application was not particular effective in reducing abundances of target, plant-parasitic nematodes either, so lack of non-target effects may just reflect that the nematicide used was not effective in this soil type.
Education
We had a diverse educational approach. This included a mixture of individual and mass participation efforts, permanent resources (articles, videos, etc.) and participatory events (field days, trainings, etc.). Some educational efforts were in-depth trainings on advanced aspects of pasture-based rotation and others were introductions to rotation incorporated into broader events or documents. Grower participation was a part of educational efforts.
Educational & Outreach Activities
Participation summary:
As indicated above, our extension and outreach program was a mixture of attendance-based events and permanently accessible products. Most activities and events incorporated SBR into already existing events to increase exposure. Others were focused specifically on SBR to provide more detailed training. COVID19 curtailed much of our in-person events, so we shifted most of our trainings to an online format. Likewise, staffing shortage and increased submission volume created a backlog with UF extension materials, so some materials are still in production. Summary of the major events, activities, and accomplishments that are not covered in the products section or elsewhere are listed here by category:
Workshops/Field Days:
UF In-service training #31617. February 2021. Lead by Dr. Liao. "Banking soil carbon to benefiti crop and pasture production systems." 30 participants (all Extension Agents or specialists). 90% of participants increased their skills and knowledge in measuring and interpreting soil physical, chemical, and biological health indicators. 76% of participants are integrating this skill set into their producer training programs. (Not reported below as these were Extension Agents not producers).
On-farm demonstrations:
Jackson County farm-scale demonstration of SBR. Farmed by Larry Ford.
Terry Twilight Tour. August 2018 and 2019. On-farm event including presentations by Dr. Grabau and demonstration of SBR used on-farm. Approximately 75 participants
Webinars, talks, and presentations:
UF Row crop short course. March 2018 and 2020. Presentations by Dr. Grabau and Dr. Wright. 205 participants between the two events. Annual winter meeting drawing agricultural professionals from tri-state region.
UF Winter Agronomic Crop In-service Train. February 2018-2020. Presentations by Dr. Grabau, Dr. Small, and Dr. Wright. Approximately 70 unique participants across years (all Extension Agents). Annual training for agronomic crop Extension Agents.
Cover crop webinar. September 2020. Presentations by Dr. Grabau and Joel Love. 120 participants.
SBR virtual field day. Produced December 2020. Presentations by Dr. Grabau, Dr. Wright, Dr. Small, and Dr. Liao and 5 other talks. 305 views across the 5 talks. Youtube videos on various SBR topics as replacement for SBR field day, which was cancelled due to COVID19. https://www.youtube.com/channel/UCsx3KN2Iu435bykZotUTUcA
SBR grower testimonial youtube videos. Produced December 2020. Videos of 4 producers (including collaborators Larry Ford and Ernest Fulford) that use SBR speaking about their experience with the practice. 124 views at the time of reporting.
Peer-reviewed publications:
In addition to the 3 peer-reviewed publications already released listed in the products section, 3 additional manuscripts are in preparation and the following manuscripts have been submitted for publication:
L.A. Schumacher and Z.J. Grabau. submitted November 2021. Evaluation of three common root extraction methods for Rotylenculus reniformis recovery from cotton roots. Plant Health Progress. In review.
K. Zhang, G. Maltais-Landry, S. George, Z.J. Grabau, I.M. Small, D.L. Wright, and H.-L. Liao. submitted August 2021. Long-term sod-based rotation promotes beneficial root microbiomes and increases crop productivity. Biology and Fertility of Soils. In review.
Research conference talks by Graduate students:
L.A. Schumacher, Z.J. Grabau, W.T. Crow, D.L. Wright, I.M. Small, and H.L. Liao. 2021. Electronic Poster. Vertical distribution of nematodes in peanut-cotton cropping systems. Society of Nematologists. Gulf Shores, AL.
L.A. Schumacher, Z.J. Grabau, W.T. Crow, D.L. Wright, I.M. Small, and H.L. Liao. 2019. Oral. Can nematicide application be reduced in sod-based rotation?. Society of Nematologists. Raleigh, NC.
Zhang K, Maltais-Landry G, Grabau Z, George S, Wright D, Small I, Liao H-L. 2021. Long-term sod-based rotation promotes crop yield by manipulating root microbiomes. SSSA International Annual Meeting, Salt Lake City, Utah (Abstract accepted; Oral Presentation)
Zhang K, Schumacher L, Grabau Zane, Maltais-Landry G, Wright D, Small I, Liao H-L. 2019. Disentangling the nematode-microbiome interactions underlying sod-based rotation and their potential consequences on soil nutrient cycling. SSSA International Soils Meeting. San Antonio, TX, USA (Poster presentation)
Learning Outcomes
Growers reported that they planned to change their nematode management practices based on nematology extension, including sod-based rotation.
Growers reported they anticipating cost reductions of at least $5/acre based on nematology extension related to this project.
Project Outcomes
Increased cost savings or profits was one result of this project that contributed to agricultural sustainability as maintaining profit allows growers to continue farming.
In surveys, 100 growers reported they were changing their agricultural management practices based on extension efforts from this project. Those same growers expected a cost savings or revenue increase of $5 or more per acre based on those changes. This affected approximately 59,000 acres (responses were a range of acreage) and resulted in cost savings of at least $296,375.
Additionally from the soil health in-service training, of 30 Extension agents or specialists, 76% of participants are integrating this skill set into their producer training programs. (Not reported in 100 producers these were Extension Agents not producers).
From research efforts, Florida growers on land heavily-infested with reniform nematode (estimated at 19,600 acres) can increase profits due to increased yield by about $90/acre every other year, resulting in approximately $900,000 in increased profit. In contrast, by choosing to forgo nematicide application (approximately $30/acre) on land with light reniform nematode infestations (estimated 26,000 acres), Florida growers can save $784,000.
In addition, from research efforts, adopting SBR, will benefit the agricultural environment. First, our research showed that the primary nematicide on the market is not needed if SBR is adopted in areas where reniform nematode is the primary pest. While a relatively safe product, this has the potential to reduce environmental impacts from manufacturing the chemical and worker handling. While minimal, this nematicide also had negative impacts on certain groups of non-target, beneficial nematodes, namely omnivores. Minimizing non-target effects is one component of sustainable agriculture.
Similarly, SBR increasing populations of beneficial nematodes and microbes, namely fungal-feeding nematodes and fungi. In cotton roots, SBR increased certain groups of carbon and nitrogen pathway associated bacteria. While further work remains, increased abundance of these groups were also associated with increased yield in SBR. This suggests that SBR may have not only an ecological benefit (increased abundance and diversity of certain non-target soil organisms), but that stimulating these organisms may contribute to sustained yields.
As implied above, the most direct benefit of SBR from this study was control of reniform nematode. In addition to increased profits and reduced costs in nematicide application, control of reniform nematode by SBR has the potential to have ancillary environmental benefits such as reduced nutrient leaching and more efficient water use (by minimizing root damage from nematodes), also these benefits are yet to be specifically quantified.
Among social benefits of SBR, these include the potential for reduced grower time commitments during bahiagrass production, leading to increased quality of life. Granted, this will vary depending on whether or not cattle are included as part of the SBR system. Similarly, SBR will depend less time assessing nematode populations and selecting nematode management practices.
