Final report for LNE22-453R
Project Information
This study sought to address farmer-identified needs to reduce energy-intensive agricultural inputs, participate in sustainable nutrient cycling, and promote soil health through the investigation of alternative, resource-savvy soil amendments reclaimed from human waste.
To study impacts on soil health and crop yield, waste-derived soil amendments–including source-separated human urine, biosolids-based biochar, wood-based biochar, and compost–were applied to silage corn grown in New York and Vermont over three years. There were no negative effects on soil health or crop yield from waste-derived amendments compared to synthetic fertilization, indicating that waste-derived fertilizers can offer an effective alternative to synthetic amendments while reducing reliance on energy-intensive resources. At the NY field site, improvements to soil health were linked to carbon inputs from compost, and these benefits were enhanced with the co-application of urine, suggesting synergistic effects of mineral and organic nutrient inputs. These soil health effects were only present in the NY site, however, indicating that soil health response to soil amendments is influenced by baseline soil conditions.
The community research for this project sought to understand the questions, concerns, and recommendations of farmers, including specific indicators of soil health they consider important with respect to the tested amendments. To that end, in-depth interviews with a range of farmers in New England and New York were conducted, along with participant observation at two field days. Attendees at the field days were asked to respond to a survey and a small sub-group at each site participated in an extended dialogue afterwards. Introductory educational material was provided for all interviewees, dialogue group participants, and field day attendees.
The community research results suggest considerable interest and openness to the beneficial re-use of soil amendments derived from human waste. There was more comfortability with the use of human urine as compared to biosolids biochar. This uncertainty associated with the latter appeared to stem from a desire for more testing and data (specifically concerning contaminant reduction), rather than generalized discomfort. Many of the participants felt strongly that "closing loops" was important to their farming philosophy, and this motivated their interest in these amendments. There was significant confusion about the meaning of the term "biosolids biochar" and participants recommended various types of educational content and formats to help communicate its safety, effectiveness, production processes and application guidelines. Farmers valued their own observations of plant and soil health first, with soil tests secondary, but many also emphasized soil organic matter, texture, moisture retention, tilth and microbial life as important qualities and anticipated that biochar (from either biosolids of other biomass) could play an important role in their long-term soil building goals.
The adoption of human waste-derived amendments in agriculture will require that it be a safe and effective practice. This study investigated two waste-derived soil amendments demonstrated to have reduced contaminant loadings when compared to untreated material from combined waste streams. Field trials in this study found evidence that these alternatives are effective substitutes for conventional synthetic fertilizers at field-scale, with no detrimental effects to the soil health and yield parameters investigated. Community research found motivation among farmers to use these amendments, yet highlighted key concerns to address before farmers feel comfortable using them.
This research will investigate opportunities to meet identified farmer needs to reduce energy-intensive agricultural inputs, participate in sustainable nutrient cycling, and promote soil health, through the reclamation of human waste as fertilizer in the form of biosolids-based biochar and source separated human urine. We will investigate their soil health effects in comparison to conventional and organic amendments, including wood-derived biochar. We will conduct community research with farmers to understand their perceptions of biosolids biochar, a novel amendment, and determine what further research or best practices may be required for this product to be adopted by farmers in the Northeast.
This research investigated a novel approach to meeting the identified farmer needs of reducing energy-intensive agricultural inputs, participating in sustainable nutrient cycling, and promoting soil health. Our approach was to accomplish these goals through the reclamation of human waste as fertilizer, in the form of source-separated human urine and biosolids-derived biochar.
Human urine is rich in plant nutrients, and is the source of most of the nitrogen and phosphorus in wastewater (Höglund, 2001). Its effectiveness as a mineral fertilizer has been demonstrated across many crops (AdeOluwa & Cofie, 2012; Araujo et al., 2019; Gómez-Muñoz et al., 2017; SARE ONE20-375). Source-separated human urine is collected separately from the rest of the toilet stream, capturing most of the nitrogen and phosphorus in wastewater while avoiding contamination from other household and industrial wastewater fractions. Using urine as a fertilizer reroutes nutrients from entering waterways through the wastewater system while decreasing the need to import synthetically-produced fertilizers into these same watersheds.
Biochar is a carbon-rich soil amendment created when organic matter is pyrolyzed (heated and charred in a low oxygen environment). As a soil amendment, biochar can increase organic matter content, sequester carbon, and improve crop production. The benefits of biochar are known to be enhanced further when biochar has been “charged” with nutrient rich materials before use, such as urine-derived fertilizer.
Biochar can be made from any biomass-based feedstock, including crop residues and woody materials. This study investigated the use of biochar made from solids separated from municipal wastewater at a wastewater processing facility, known as biosolids biochar. Producing biochar from biosolids offers an opportunity to convert a waste into a value-added product that can improve soil health while diverting local waste streams towards productive ends. Through the recycling of both liquid and solid bodily “waste” to agricultural resources, this study finds potential to build and sustain both agricultural and environmental health simultaneously.
The use of biosolids biochar also offers an approach to reduce contaminant loading to agricultural lands from combined waste streams such as biosolids. The application of raw biosolids as a nutrient-rich soil amendment to farmland is a widespread practice in the United States. However, biosolids also contain contaminants such as per- and polyfluoroalkyl substances (PFAS), and concerns of soil contamination associated with the land application of biosolids are increasing. The pyrolysis of biosolids into biochar offers a potential solution to PFAS contamination, as high pyrolysis temperatures have been shown to reduce PFAS levels in the resulting biochar by 74 to 99.9% (Kundu et al., 2021; McNamara et al., 2023; Thoma et al., 2021). Furthermore, biochar can bind to PFAS contaminants in soils (Askeland et al., 2020; Krahn et al., 2023; Sørmo et al., 2021) and thereby reduce their uptake by plants.
Our project evaluated the potential for adoption of these novel human waste-derived soil amendments through a 3-year field experiment measuring the effect of these amendments on soil health and crop productivity, and through community research on farmer attitudes and perceptions.
The field experiment, growing corn silage, examined how combinations of source-separated human urine, wood biochar, and biosolids biochar affected soil health and crop yield compared to currently-used conventional and organic amendments. The following nine treatments were evaluated:
- No fertilizer (control)
- Synthetic nitrogen (urea)
- Urine
- Compost + synthetic nitrogen
- Compost + urine
- Wood biochar + urine
- Wood/biosolids biochar blend + urine
- Wood biochar + compost + urine
- Wood/biosolids biochar blend + compost + urine
The community research component built on our previous SARE projects (ONE20-375, ONE22-426), which documented strong farmer interest in the adoption of source-separated human urine as fertilizer. However, we also identified concerns about urine that related to potential soil health effects from residual pharmaceuticals, as well as concerns about biosolids related to microcontaminants, organic pollutants, and heavy metals (SARE ONE22-426). We hypothesized that the use of biosolids biochar combined with urine might allay these farmer concerns, because the high-temperature conversion of biosolids to biochar has been shown to eliminate many organic contaminants and immobilize heavy metals (Jin et al., 2016; Sarvi et al., 2023). Furthermore biochar has been found to immobilize organic contaminants in urine, such as the residual pharmaceuticals (Bair et al., 2016). Our community research goal with this project was to understand farmer perceptions of biosolids biochar and human urine as fertilizers or amendments, and determine what further research or establishment of best practices may be required for these products to be adequately evaluated and potentially adopted by farmers in the Northeast. Community research included 22 interviews, farm field days, dialogue groups, and a survey of field day participants.
The conceptualization and design of this project was largely informed by farmer needs identified in previous research conducted by the Rich Earth Institute. Prior community research, including farmer and consumer interviews (SARE ONE20-375, SARE ONE22-426), found that an understanding of the long-term soil health effects of urine-derived fertilizer was important to farmers. Farmers also recommended further research combining urine with other amendments such as compost to build soil organic matter.
The decision to include biosolids biochar as an experimental amendment was based upon both community stories and the scientific literature. Stories of farms closing as a result of contamination from per- and polyfluoroalkyl substances (PFAS) resulting from biosolids application are well-known throughout the USA, and bans on the application of biosolids to farmland have taken effect in Maine and Connecticut as protective measures against PFAS. This project sought to evaluate the soil health effect of using thermally-treated (pyrolyzed) biosolids, the use of which might allow farmers to continue deriving soil health benefits from biosolids while avoiding the risk of PFAS contamination associated with conventional biosolids. Past community research from the Rich Earth Institute had highlighted a common farmer request to conduct research addressing the contamination potential of waste-derived soil amendments over many years (SARE ONE20-375, SARE ONE22-426). While the present study does not specifically measure soil contaminants, it included a field trial measuring the effect on soil health of source-separated pasteurized human urine and thermally-treated (pyrolyzed) wastewater biosolids, as an alternative to contaminant-laden products from centralized waste streams (biosolids).
As in our past research, the present study design included interviews, surveys, and dialogue groups to ensure that our project directly engaged with and met farmers’ needs. We also incorporated feedback from farmers and agricultural service providers on our Advisory Committee into the project design.
Cooperators
- (Educator and Researcher)
- (Researcher)
- (Researcher)
- (Educator and Researcher)
- (Researcher)
- (Researcher)
- (Researcher)
- (Researcher)
- (Researcher)
- (Researcher)
- (Researcher)
- (Researcher)
- (Researcher)
Research
Hypotheses
We hypothesized a combined positive effect on soil health and crop yield by using biochar and soluble fertilizer in combination compared to their use alone. We anticipated that these benefits would be achieved using two recycled amendments: source-separated urine and biosolids biochar. We also hypothesized that farmers would have greater interest in using biosolids biochar and urine than in using biosolids, due to the higher PFAS levels in biosolids compared to the other two amendments. Our project evaluated the potential for adoption of these novel human waste-derived soil amendments by investigating:
- How urine, wood biochar, and biosolids biochar affect soil health, compared to currently-used conventional and organic amendments (urea and compost).
- The questions, concerns, and recommendations of farmers, including specific indicators of soil health they consider important with respect to the tested amendments.
Materials & Methods
SOIL HEALTH METHODS
Field trials were conducted over 3 years from 2023-2025 at 1) a commercial farm, in Brattleboro, VT, and 2) the Cornell University Long Island Horticultural Research and Extension Center (LIHREC) in Riverhead, NY. We originally intended to begin field trials in 2022, but due to the short period of time between the funding of the grant and the beginning of the field season, we determined that was not feasible. We therefore focused on the planning and procurement of materials in 2022, and began the field trials in 2023.
Nine treatments were selected to include a range of soluble and organic forms of nitrogen (N) fertilizer, along with labile (quick-to-decompose) organic carbon (C), recalcitrant (slow-to-decompose) organic C, or negligible levels of organic C (Tables 1 and 2). This design allowed for a multi-year comparison between treatments applying labile C paired with organic N and primarily recalcitrant C paired with soluble N. Intermediate treatments contained a combination of both types of N and C, to examine synergistic effects. The two fertilized treatments with negligible levels of organic C (SN and U) and the no-fertilizer control offered fertilized and unfertilized comparisons to the high-C treatments.
All treatments were applied to NY and VT field plots containing five replicates of nine treatments arranged in a randomized complete block design for a total of 45 subplots. Subplots measured 20’ long and contained four rows of silage corn. Subplot width was 12’ in VT and 11.3’ in NY due to the different spacing of the corn planting machines at the two locations.
All urine used in this study was sourced from the Rich Earth Institute’s Urine Nutrient Collection Program in Brattleboro, VT. Urine was sanitized using a pasteurizer from Brightwater Tools, and certified as an Exceptional Quality (EQ) urine-derived fertilizer under a permit from the Vermont Department of Environmental Conservation (VT DEC). The treated urine was processed to the same standard as is required for biosolids, but the VT DEC classifies it as urine-derived fertilizer, rather than a biosolid. Urine used in 2025 trials was concentrated to reduce volume, making handling and application easier. The wood biochar (Terra Char) was produced from Southern Yellow Pine pyrolyzed at 800°C, and biosolids biochar (BioForceTech) was pyrolyzed at 650°C. The compost was acquired from the Vermont Compost Company.
Table 1: Nine treatments applied in the NY and VT field trials
|
Treatment Number |
Treatment Name |
Amendments Applied |
|
1 |
No Fertilizer |
None |
|
2 |
SN |
Synthetic nitrogen (Urea) |
|
3 |
U |
Urine |
|
4 |
C + SN |
Compost + synthetic nitrogen (Urea) |
|
5 |
C + U |
Compost + urine |
|
6 |
WB + U |
Wood biochar + urine |
|
7 |
BB + WB + U |
Biosolids biochar + wood biochar + urine |
|
8 |
WB + C + U |
Wood biochar + compost + urine |
|
9 |
BB + WB + C + U |
Biosolids biochar + wood biochar + compost + urine |
Table 2: Nine treatments applied in the NY and VT field trials, distributed along two axes representing different forms of carbon and nitrogen
Amendment application rates for all fertilized treatments were determined based on annual agronomic N needs of silage corn (180 lbs/acre). In treatments #2 and #3, urea and urine were applied to meet all N needs, respectively. For all treatments containing compost, application rates were calculated such that annual C application rates (2500 lbs/acre) were met through applications of compost alone (#4 and #5) or in combination with biochar (#6–9), and any remaining N requirements were met through applications of urea (#4) or urine (#5–9).
Biochar was applied at an annual rate chosen in consultation with project Advisory Committee members to equal ⅓ of the total carbon application rate for the compost + urine and the compost + synthetic nitrogen treatments, resulting in an annual application rate of 833 lbs/acre of carbon from biochar in treatments #6-9. This rate was chosen so that by the end of the third year of the study, all plots receiving biochar would have received a total cumulative amount of 2500 lbs/acre of carbon from biochar. The dry mass application rate of the wood biochar was 0.5 tons/year, or 1.5 tons over the course of the trial. The dry mass application rate of the biosolids biochar/wood biochar blend was 0.74 tons/year, or 2.2 tons over the course of the trial. Due to the high phosphorus (P) content of biosolids biochar, a 1:1 (dry matter basis) blend of wood biochar:biosolids biochar was used to prevent P overapplication. In treatments #6-9, ⅓ of the C target was met through wood biochar (#6 and #8) or a wood-biosolids biochar blend (#7 and #9), and ⅔ of the C target was met through compost (#8 and #9).
For all fertilized treatments, potassium chloride (KCl) and triple super phosphate (TSP) were applied as needed to meet annual targets of P (110 lbs/acre) and potassium (120 lbs/acre).
A baseline composite soil sample was collected in October 2022 at each field location and sent to the Cornell Soil Health Lab for the Comprehensive Assessment of Soil Health (CASH) standard analysis. CASH analyses provide information on a soil’s physical, chemical, and biological properties, allowing for more holistic or systems thinking approaches to management. At the conclusion of the field study in October 2025, soil samples were collected from each of 45 subplots for another CASH analysis.
In 2023, baseline soil samples were collected from each of the 45 subplots in both VT (April) and NY (May) and submitted for amplicon sequencing (AMP) (Cornell University, NY) and phospholipid fatty acid (PLFA) analysis (Soil Health Assessment Center, Columbia, MO) to assess soil microbiology. This was done using funding from the Foundation for Food & Agriculture Research (FFAR) for conducting an add-on component to this study examining impacts of the treatments on soil microbiology. AMP and PLFA samples will be collected again in the spring of 2027, (after two additional years of the same trial, funded by FFAR,) to assess long term effects of the treatments on soil microbiology.
At the NY site, the winter rye cover crop was terminated using glyphosate in April each year before application of the solid amendments. At the VT site, solid amendments were applied before the winter rye cover crop was terminated by tillage prior to planting.
In April/May of 2023-2025, compost, biochar amendments, and TSP and KCL fertilizer supplements were broadcast-applied to subplots prior to tilling. Compost was distributed evenly from a 5-gallon bucket to each plot, the boundaries of which were marked with a 20’ x 12’ subplot grid (Figure 1). Biochar amendments were weighed into 5-gallon buckets and mixed with urine in a 1:1 ratio to “charge” the biochar for at least one week prior to application. Charged biochar was applied to field plots by evenly dispersing it from the 5-gallon buckets over the subplot grid. TSP and KCl amendments were applied to subplots using a hand-pushed fertilizer cart (VT site) and by hand (NY site).

Study plots were tilled and silage corn was planted in late May of 2023-2025. Brevant B02V87AMXT, an herbicide-resistant variety, was used in accordance with the VT farmer’s standard practices. In VT, tilling was done using a moldboard plow, and the direction of tillage was alternated each year to ensure that soil did not migrate over 2’ between subplots. In NY, plots were prepared using a chisel plow in 2023, and a disk harrow in 2024 and 2025 prior to application of the solid amendments. Urine and urea applications were split between two applications; one application soon after corn germination in May/June (30 lbs/acre) (Figure 2) and a mid-season sidedress once plants were at the V7 stage in July to apply the remaining N for each treatment (Figure 3). Both urine and urea were band-applied to furrows 2-3” deep and 4-6” away from the corn row. Soil was then immediately raked into the furrows to cover the applied urine and prevent ammonia volatilization. (This mimics the effect of a subsurface fertilizer applicator, such as the urine applicator that the Rich Earth Institute developed and tested for SARE ONE18-318). Urine was applied evenly to each furrow using a hand-held applicator that was similar to a watering can, and urea was applied by shaking pellets evenly into furrows from a hand-held container.


Glyphosate was applied in June each year (between planting and sidedressing dates) to manage weeds in both locations. Tractor damage of some corn plants in the VT trials resulted from these applications, and the damaged areas were avoided during harvest sampling.
To determine nitrogen levels in the soil and in leaves plants prior to the nitrogen sidedressing, pre-sidedress nitrate testing (PSNT) and Soil Plant Analysis Development (SPAD) testing were performed in each subplot in late June of 2023-2025. SPAD readings were taken using a hand-held Minolta SPAD 502 Chlorophyll Meter. PSNT soil samples were sent to DairyOne Labs (Ithaca, NY) for analysis. Results from PSNT and SPAD analysis indicated low soil nitrate availability and no significant variation in leaf chlorophyll levels between treatments prior to sidedress applications (Figure 3). PSNT and SPAD results were not used to determine sidedress N rates, but confirmed that sidedressing was necessary.
In mid-September of 2023-2025, corn was harvested for in-field and lab analysis. Corn was sampled from the centers of each subplot, leaving unsampled buffers on all sides. Of the four planted rows, only the center two rows were sampled and the outer two were left as buffers. Likewise, the first and last four feet of the center two rows were left as unsampled buffers. The number of stalks and the wet weight of the harvested plants was recorded. A subsample of shredded corn plant material was sent to DairyOne Labs for forage analysis (Figure 4). Eight ears per subplot were then randomly selected, measures were taken of total ear length, length of ear with developed kernels, and number of kernel rows. Ear measurements were not collected at the NY trial location in 2024 and 2025 due to heavy bird damage.

Prior to planting in 2023, three lysimeters per treatment (15 total) were installed at the NY trial location to collect data on N leaching. Due to the sandy soils on Long Island, N leaching is a problem and we were interested in evaluating if the different treatments, particularly those with biochar and compost, mitigated N leaching potential. During the 2023 season, leachate was collected at various times, following rainfall events, from the lysimeters. Unfortunately, we were unable to collect samples from several of the lysimeters in the trial despite multiple attempts. Due to the significant variability in lysimeter performance over the course of the 2023 season and the lack of samples to perform statistical analysis of the data, we decided to forgo the lysimeter component of the project in the subsequent seasons.
A one-way analysis of variance (ANOVA) was used to determine significant differences between treatments for each year at each location (p < .05). A Tukey HSD test was performed to determine pairwise significance between treatments for each year at each location (p < .05). All data analyses were performed in R Version 4.2.2 (R Core Team, 2025).
COMMUNITY RESEARCH METHODS
We received IRB approval through Cornell University for the project's community research, which aimed to understand farmer perspectives on the novel amendments studied. We analyzed farmers' questions and concerns, and identified opportunities for and barriers to adoption to inform our research and education strategies. We also identified specific indicators of soil health that are most important to farmers. To accomplish this, we utilized an iterative farmer engagement process, creating opportunities for participation through interviews, small dialogue groups, and a survey distributed at the field days.
With the help of our Advisory Committee and recruitment through several agricultural listservs, we identified a range of people to interview and with whom to conduct site visits in New England and NY. We decided to expand the range of potential interviewees to include some farmers on Cape Cod, given Rich Earth's complimentary work in that region with a range of actors interested in reducing N discharge into waterways. We developed interview protocols (and revised these based on initial interview responses). We ended up interviewing 23 people including farmers, several landscapers or greenhouse managers, and two agricultural service providers.
The interviews addressed current nutrient management practices; decision making about farm/soil management; ideas/concerns about the novel amendments of this study; suggestions for both consumer oriented and farmer-to-farmer educational materials; and soil health information needs. Interviews were recorded, transcribed and coded for analysis, using standard triangulation protocols for qualitative research (Saldana, 2016)
In Year 3 we held two field days, one in VT and one on LI. In addition to questions and answers during the demonstrations, attendees were asked to fill out surveys, and four participants at each field day were recruited (either before hand through the registration process, or at the event) to participate in structured dialogue groups. Thirty-one surveys were filled out, including 23 prior to the dialogue groups and eight after participating in the dialogue groups.
Demographics: There were 23 interviewees, and 8 dialogue group participants. Grouped together, ages ranged from 25 - 73; 13 were male, 17 female, and 1 specified no binary category. Almost all identified as white, with one ½ Chinese, and several mentioning various European heritages which influenced their farming philosophy and style to some degree. With regard to education level, the group was highly educated; two had a high school degree or GED, three had an associate degree, sixteen had a 4-year college degree, four had Masters degrees, and two had a PhD. Note: one interview included two participants (a farming couple), hence there were 22 "interviews" but 23 "interviewees."
Farm Method and Current Practices: Of the interviewees, there were 15 farmers, one greenhouse manager, three landscapers, one community garden manager, 1 arborist, and 2 agricultural service providers. When asked about their current farming methods, the group turned out to be overwhelmingly categorized as "organic, not certified" with 12 using that label, 4 using the term "regenerative," and 1 "eco-friendly." Only one described themselves as "conventional" and one used the term "traditional." A landscaper said he adapted to his clients' needs.
The scale of operation ranged from less than acre to 500 acres, but the majority were on the smaller scale of 10 - 100 acres. Their main crops and livestock varied, with 7 growing primarily plants for food, fiber, or medicinal use, including vegetables, grains, berries, calendula, hemp, cannabis, or flax. Five grew ornamental plants, including annual bedding plants, perennials, trees, and shrubs. A few focused on ornamentals in urban landscapes, including trees and turf. Five operated diversified farms producing a wide variety of vegetables along with pasture-raised livestock, including cows, pigs, goats, sheep, turkeys, chickens, or ducks. Three focused mainly on livestock production, including pasture and hay fields for cattle, pigs, goats, sheep, or chickens. Of the dialogue group participants there were 3 farmers (1 hydroponic, 1 organic), 1 landscape designer, 2 agricultural service providers, 1 community garden manager and 1 environmental engineer.
Coding and Analysis Process: Interviews were coded using the software program Dedoose. The themes to be coded were identified deductively through discussion among 3 or 4 members of the research team after the first few interviews were transcribed; fifteen major themes or categories of discussion were developed, each with multiple sub-themes; the coding document (see attached) was revised through consensus among team members as interviews continued. Once established, codes were uploaded to the Dedoose platform for coding. Triangulation was accomplished through a process by which three coders (including one who was present at interviews and two who were not), coded three interviews independently. The team then met to discuss any discrepancies or variations in how codes were interpreted. Once similar interpretations were established, all interviews were coded by at least one person; 16 of the 22 interviews were coded by two people. The six that have only been coded by one person so far will be coded by a second person as this project continues via the FFAR complimentary project. After coding, three researchers discussed the coded excerpts from the interviews to develop our interpretation of the ideas that emerged, and through consensus established the key findings described below.
The following documents were used in the community research of this project:
FIELD TRIAL RESULTS - Harvest
Yields ranged between 0.9 and 7.4 dry tons per acre at the NY trial site and 2.7 and 10.4 dry tons per acre in VT over the three year study period. Yields were lower in NY in 2024 and 2025 due to drought.
All fertilized treatments had significantly higher yields (Figure 5), greater ear fill (Figure 6), and greater ear length (Figure 7) compared to the no-fertilizer control treatments in all years at both trial locations (p < .05), with the exception of C + U, which did not show a significantly different yield from the no-fertilizer control treatment in VT in 2025.
None of the yields from fertilized treatments differed significantly from yields of the fertilized control (SN) treatment, indicating that urine may be substituted for urea fertilizer, and that biosolids biochar may be applied with no negative yield effects.
In 2025, there were two significant differences in yield between C + U and other treatments containing urine; C + U resulted in significantly lower yields than U (NY) and BB + WB + C + U (VT) (p < .05). Such decreased yields resulting from the co-application of urine and compost suggest that nutrients, particularly nitrogen, were not as available during the growing season to promote corn growth as in the other fertilized treatments.
Similarly, all four treatments containing compost were generally found to have less ear fill and shorter ears than fertilized treatments not receiving compost; C + SN and C + U had significantly lower ear fills than U (NY 2023, VT 2025), SN (VT 2025), WB + U (VT 2025), and BB + WB + U (VT 2025) and significantly shorter ears than U (NY 2025, VT 2025) and SN (VT 2025), and WB + U (VT 2025) (p < .05).
An analysis of silage crude protein content shows further evidence of lower N availability in compost-containing treatments. Crude protein was significantly lower for all four treatments containing compost than for both WB + U and SN in VT and NY locations in 2025 (p < .05) (Figure 8). Decreased crude protein rates indicate lower plant uptake of nitrogen, and, taken together with yield data, this finding suggests that nutrients were less available for plant uptake in treatments where a fraction of nitrogen was applied in its organic form than in treatments supplying only inorganic nitrogen.
The deficiencies that were observed in treatments containing compost could potentially be corrected by increasing the amount of soluble nitrogen applied. This approach might increase the yield to the same level as the other treatments, while retaining the benefits to soil health that were observed from the compost-containing treatments.
Complete forage results can be viewed here.




FIELD TRIAL RESULTS - Comprehensive Assessment of Soil Health (CASH)
Soil health scores show an improvement in NY soils over the course of the study, from a score of 36 (low) in the 2022 composite baseline test to a range from 45 (medium)–65 (high) in the 2025 subplot-level testing. Varying changes were seen in VT soils, which scored 62 (high) in 2022 and ranged from 54 (medium)–66 (high) in 2025.
For the NY location, overall soil health scores in 2025 were linked to compost applications. Three of the four treatments containing compost (C + SN, C + U, and BB + WB + C + U) showed significantly higher health scores than both the fertilized control (SN) and the no-fertilizer control (p < .05) (Figure 9). This response to compost was not seen in the VT location, however, where there were no significant differences in soil health scores between treatments.
The difference in soil health response between the NY and VT locations may be attributed to differences in baseline soil conditions at each site. In 2022, VT soils were a silt loam (Sand: 27% Silt: 60% Clay: 11%) with “low” to “medium” levels of soil protein, active carbon, and soil respiration, while NY soils were a sandy loam (Sand: 55% Silt: 29% Clay: 14%) with “very low” levels of the same. As compost is known to have positive effects on biological soil health indicators, including soil protein, active carbon, and soil respiration, its application likely had a greater impact in the severely biologically-constrained NY soils than in the moderately-constrained VT soils.
Unless otherwise noted, the remaining results and discussion of soil health pertain to the NY location.
The best performing treatments for overall soil health were C + U and BB + WB + C + U, with significantly higher scores than SN, U, or the no fertilizer control. Organic carbon from compost applications may underpin the increases in overall soil health scores observed, as it provides habitat, food, and energy resources critical to supporting a healthy soil microbiome.
Soil organic carbon levels were significantly greater in the three treatments containing compost and urine (C + U, WB + C + U, and BB + WB + C + U) than in treatments containing negligible carbon (SN, U, and the no-fertilizer control) (p < .05) (Figure 10). Of these, C + U and BB + WB + C + U also showed significantly improved soil organic matter compared to the same (p < .05) (Figure 11). In contrast, while soil organic carbon and soil organic matter in the C + SN treatment were somewhat higher than the treatments that had negligible organic carbon, this difference was not significant.
Notably, soil organic carbon was significantly higher in the BB + WB + C + U than the C + SN treatment, both of which received the same total carbon amendment in each year.
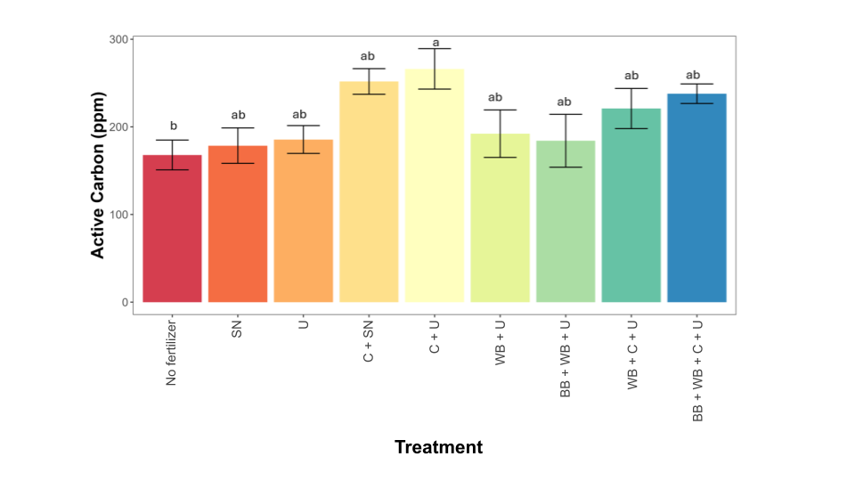
Indicators associated with healthy soil microbiology were found to be improved from the co-application of compost and urine. Active carbon (Figure 12) and soil respiration (Figure 13) were both significantly greater in C + U than the no-fertilizer control (p < .05). This suggests that both the fraction of soil carbon readily available as food for microbes as well as microbial respiration activity were improved by the co-application of urine and compost, but not by the addition of urine alone or compost with synthetic fertilizers.
Considering all soil health indicators discussed above, we find C + U to have significantly improved soil organic carbon, organic matter, active carbon, and soil respiration levels compared to the non-fertilized control in NY, whereas treatments containing urine alone or compost with urea (instead of with urine) showed no significant improvements in these indicators from the control (p < .05). Regarding soil organic carbon specifically, all three treatments with compost and urine significantly outperformed U, and all treatments with both compost and urine outperformed C + SN, though only BB + WB + C + Urine was significant (p < .05). This suggests synergistic and positive soil health effects from the co-application of compost and urine.
All four treatments containing compost showed significantly higher soil protein levels than treatments with negligible carbon inputs, including SN, U, and the no-fertilizer control (p < .05) (Figure 14). Given that equal amounts of nitrogen were applied to all fertilized treatments, these findings further support results seen in the harvest data indicating that more nitrogen remained bound in the soil instead of being taken up by the plant when applied in its organic form via compost.
In the VT location, there were no significant differences between the control treatment and all other fertilized treatment groups for any soil health metrics. Despite being no different than the control treatment, C + U showed significantly higher soil respiration than SN (p < .05), suggesting a similar positive and synergistic effect of compost and urine applications on soil microbial activity as was observed in NY.
Complete CASH results for the NY site can be viewed here.






COMMUNITY RESEARCH RESULTS AND DISCUSSION - Interviews
Here we will not be discussing all the themes or categories coded, but focusing instead on those most salient to the objectives of this project. In our discussion, we use semi-quantitative terms like "a few," "some," "most" or "many." Generally speaking, if more than half the respondents mentioned a certain code, we were comfortable using the term "many." If fewer than five respondents mentioned a code, we used "a few." The other terms fall in between, and we've included specific numbers in many cases for clarification.
Familiarity: Most respondents were familiar with urine, with only three respondents saying they were not. All but one were familiar with biochar in general, but most were unfamiliar with making biochar from biosolids. When discussing familiarity with biosolids biochar, five respondents expressed confusion around the concept; they seemed to misinterpret and thought we meant biochar from woody debris, or source-separated human solid waste from composting toilets or other means, or biosolids, such as Milorganite. One respondent, when asked about biosolids biochar, said, “Yeah, I somehow have a, have like some inkling that the city of Milwaukee was doing that at one point?” Among the six respondents who were familiar with biosolids biochar, half immediately followed with language such as “I don’t know that much about it” or “I know less about this,” indicating there is minimal knowledge about biosolids biochar even among the few who expressed familiarity.
Comfort Level: With regard to how "comfortable" respondents felt about potentially using urine-derived fertilizer or biosolids biochar, half of respondents mentioned that they thought "others" would not be comfortable, whereas none mentioned low comfort for themselves. This confirms the importance of education about and demonstration of urine fertilization. Comfort level for biosolids biochar varied. A few respondents had low comfort themselves, and many postulated that others would have a low comfort level. Many respondents changed their minds about biosolids biochar during the interview, identifying various caveats; for example, some – cited high comfort at first, and then indicated a medium level of comfort later in the interview, expressing discomfort with not understanding the production process or the sources used to produce biosolids biochar. One interviewee expressed enthusiasm, but still emphasized a desire for more information about the process.
Motivations/Benefits: A few major themes arose for key motivations and/or benefits of the use of these novel amendments. The most frequently coded motivation was "closing loops," mentioned 64 times by 17 respondents. Respondents were most often motivated to use these novel amendments on certain crop types (crop type was coded 67 times in 17 transcripts) namely non-edible crops, tree crops, nursery crops, and fodder for animal consumption. Urine was seen as safer than other sources by some, compared to biosolids biochar made from the mixture of wastes processed in a municipal wastewater treatment plant. A few respondents thought that if urine was managed locally, and users were aware of what type of pharmaceuticals (if any) were in the collected urine, it would be more acceptable than biosolids biochar, or a good source of fertilizer generally. Access to a local source of either urine or biochar was an important motivation for many. It was mentioned as motivation in 16 out of the 22 interviews. Many interviewees were aware of the benefits of biochar, such as its ability to help build soil over time and retain nutrients, which motivated their potential interest in biosolids biochar (17 out of 22 interviewees). The possibility of using biochar to improve soil health, such as for perennial crops like trees, was mentioned 64 times in 17 transcripts. Several interviewees specially mentioned interest in the potential of pyrolysis to reduce contaminants.
Concerns and Barriers to Adoption: When asked about concerns with the use of these novel amendments, respondents most often mentioned potential contaminants, specifically PFAS. Concern about contamination was coded 57 times, much more than other codes in the concerns category. Only two respondents did not mention contaminants. Respondents seem to be more concerned about contamination in biosolids biochar (as compared to biochar from woody biomass or urine) because of the mixed-stream production method. One respondent thought that educating the public will be crucial to "have them keep an open mind" and thinks concerns about PFAS will be front of mind for a growing number of people and will need to be addressed. The information provided at the beginning of the interview about PFAS reduction of biosolids through pyrolysis seemed promising to them, though this respondent also wondered about potential PFAS treatment for urine. A few people (6) mentioned "contaminant reduction" as a potential benefit of biosolids biochar, though most wanted more data before feeling comfortable with it.
When concerns about contamination were mentioned generally, it was often not clear if respondents were concerned about human health impacts or environmental health impacts. These may be perceived as closely linked for many respondents. Another concern was the use of industrial machinery and how it would impact local aesthetics, such as large trucks and tanks, to manage production processes for these amendments at scale. Some respondents thought there were barriers to the application of these amendments for some crop types, such as annual leafy crops like lettuce.
Another concern and/or barrier to adoption was scale. One respondent saw urine as a useful fertilizer for a variety of non-food crops, such as nursery stock, crops produced in greenhouses, hemp, sod, and golf courses, However, he wondered about the volume of urine that would be available and on how much land it could feasibly be applied. He imagined the scale could grow over time, but considered infrastructure to be the biggest hurdle, along with the costs to collect and transport urine.
Soil Health Indicators: To better understand participants’ thoughts on what mattered to them with regard to soil health, we asked how they determine their fertility and soil health needs. Their own observations of plant and soil characteristics proved to be most significant. With regard to soil testing, practices varied, with eight respondents answering that they do soil tests regularly, usually every year or two, with one respondent testing weekly. Nutrients, organic matter, and pH were most commonly measured on these tests, with some also looking at microbial life. Six respondents said that they only do soil tests occasionally. Barriers cited include the expense and lack of time to get the results for quick turnaround planting projects. Several perform tests on an as needed basis if they notice problems with plants. A few plan to do more soil testing in the future with greater consistency as their operation grows or they hone in on their practices. Eight respondents do not test their soil, and they usually rely on observations to determine their soil health needs.
We asked participants what they see as the most important indicators of soil health. Observations of their plants were most frequently mentioned, cited by 17 respondents. They kept an eye on whether plants were productive and growing vigorously or had stunted growth, whether leaves were greening up or yellowing, and whether the plants were healthy and resilient against pests and disease or suffering from infestations. One flower farmer described how observations of plant strength indicated good soil: “We’re just getting to trellising everything… And all of the flowers are really sturdy with thick stems this year. So they’re holding themselves up versus needing to be trellised… which means the roots are able to go deeper and just create a stronger plant structure.” A few observed changes in the flavor of their crops. And a few kept an eye on the richness and variety of plant species in their pasture.
Soil microbial life (including species richness, evenness, and abundance) was also important to many, with the health of the soil microbiome cited as a key indicator of soil health by 14 respondents. These farmers saw supporting the soil microbiome as a way to create a healthy and productive system long term.
While some interviewees kept track of microbial populations with soil tests, visual observations of the signs of soil microbial life were frequently relied upon: “I mean, we can tell what a… just sort of a healthy soil system looks like…. And that’s part of the reason we like to grow perennials … we can actually see the mycelium growing underneath…which is just absolutely incredible.” Many farmers described making changes in their practices to support the soil microbiome, including planting perennials, reducing tillage, planting cover crops, or harvesting plants at the base and leaving the roots so as not disturb the soil. The soil microbiome also factored into their choices for amendments, such as using unsulfured blackstrap molasses to feed mycorrhizae, or applying composts: “Microbes. That’s a really big part of compost as opposed to like digestate, just because it’s so active. And I think all of that helps foster plant growth and health long term.” One farmer described how they are starting to pay close attention to how different microbial populations in their compost influence different crops:
So last year I learned that nightshades, garlic, and onions like higher fungal numbers…and that almost everything else we grow like higher bacterial numbers. So we had been getting our compost very cured so that it was high in fungus. And we were noticing that there was a decrease in production of say, our brassicas and stuff… So now we’re working towards trying to spread some immature compost that hasn’t propagated the amount of fungus yet for the brassicas, lettuce, corn, etc.
After plant observations and the soil microbiome, nutrient levels as measured on soil tests were the next most important indicator, mentioned by 12 respondents. This was followed by soil organic matter, water-holding capacity, and observations of the soil (including color, smell, or the presence of macrofauna like earthworms) each of which was mentioned by 9 or 10 respondents. Several also cited compaction or drainage as key indicators of soil health.
Information Needs: Respondents were asked what information would be most helpful for their decisionmaking regarding use of these amendments. Results from experimental trials were mentioned the most, with 17 respondents interested in this information. They would like to see how these amendments are working on other farms, both in terms of yields and improvements in soil health, particularly for biosolids biochar. They would like to see trials done with different crops on farms in a range of soil types and climates. Most people want to see long-term data, the longer the better, with at least two years for yield trials, and at least five years to see soil health changes, including any impacts on soil life and whether contaminants are building up over time or broken down in the soil:
If we could have a 50-year study and the results were overwhelming that it helps your soil, that would be the biggest help a guy could have. But just what is the analysis when you put it on your soil and then what happens after five years? …Because you would think that within five years you’d either have a buildup or you’d have a change in the soil if there is gonna be one.
Most respondents also thought an analysis of the presence of contaminants in the amendments themselves before being applied would be helpful, with 16 respondents looking for this data.
There is a significant need for application guidelines, which was mentioned by 16 respondents as well. Some thought urine could fit in well with their current methods and equipment to spread liquids, including fertigation, but wanted to know application rates and techniques to prevent burning crops or runoff into nearby waterways, and were concerned about the effort required to apply enough of it. As one farmer explained:
I just wonder about how to spread it, I guess. And more of the… technical details of like… how much do I need? Does it need to be concentrated or not? … Because I think there’s a lot of solutions out there for when you want to increase your fertility. And especially for us, and I think a lot of local farmers, it’s more about … what kind of equipment you need and how much time is it going to take you to do it…. I’d be super open to it as long as, you know, it’s not too difficult.
Farmers were less familiar with what the consistency of biosolids biochar would be like and how it would be spread or incorporated into the soil, and how often it would need to be applied. They also wanted to know more about how it holds onto or releases nutrients in the soil. One explained, “Well, a liquid, obviously, is pretty much gonna be instantly available, and that’s a little easier to use, but as far as a solid goes…obviously, once you plant the field, you can’t get back in there to spread that solid again. So that’s very important to have, you know, [information about] how quickly…it releases.” Additional information on nutrient composition of both amendments, costs per yield achieved compared to other fertilizers, and information or support to obtain the appropriate tools and equipment were also needed, all requested by about half of respondents.
An important information need revealed by respondents would be to help farmers understand what biosolids biochar really is, as it's not intuitive to most. One requested a diagram that would help to clarify the product:
I think it would just help me to have… even just like a very basic diagram of like, here’s how your biochar got to be in its current form… just like a little super for dummies diagram of the steps. So that I can have an image of what happened. Because I have images now of just like this gross, sludgy poop thing. And then getting like dried down into something that can be burned. So it’s kind of just like this powdered poop [laughs].... But…I think there are probably ways that that’s not accurate, you know.
Terminology for biosolids biochar may need to change, given the confusion that arose in several interviews, between biosolids biochar and other amendments. As one respondent put it, “I think that if they’re too similarly named, like saying biochar versus the other one that starts with bio [referring to biochar from wood biomass], I think, because like I’m already getting confused in this conversation…. I think having two distinct words for it is going to be the best.”
Education Recommendations: The need for more education on these amendments for farmers, their customers, and the broader public emerged as another significant concern. Most respondents, especially those doing direct-to-consumer sales, were already involved in education about farming practices and philosophy. Some considered it a key component of their role, either as an educational farm offering public workshops and tours, or through work with agricultural extension, or as a part of other agriculture-related committees and professional organizations.
Reflecting on these experiences, all of our respondents had recommendations for what educational methods and content they believed would be most effective in addressing concerns around these amendments and encourage broader acceptance and adoption. Most frequently, respondents described a science-based approach, with educational materials focused on sharing research results, particularly on the safety and any social or environmental benefits of using these amendments. Several respondents commented positively on the introductory material provided at the beginning of the interview, which compared contaminants taken up by crops fertilized with urine to levels found in crops grown with other amendments they may currently use, such as animal manures. They found this information surprising and helpful for their own decision making and something that would be useful to pass along to customers. One respondent explained:
Our minds first go to well, what about like peeing out pharmaceuticals, but then you were mentioning that they are found in other [fertilizer and amendment] sources. So I think that is a really powerful point to make. And especially if the point is that they’re actually lower in this source than others, if that shows up to be true.
Some respondents thought a chart comparing the levels of contaminants found in a range of amendments would be an effective way to present this information. One respondent stressed how important such information on contaminants will be for growers heading into the future, especially for vegetable producers who are starting to get pressure from retailers asking them to sign liability documents stating that if any problems with PFAS come up in the vegetables, the retailer will not be liable. They explained that many producers are starting to be concerned about this pressure from their markets. A few respondents mentioned wanting printed materials like pamphlets to have available for their customers that would provide short, easy-to-digest information, but would also have links to websites to explore the deeper research on safety.
In addition to educational materials on safety, resources that helped to explain the source materials and process for creating these amendments were also frequently mentioned, especially for biosolids biochar, which respondents were less familiar with. Farmers were interested in this information both for their own understanding and to share with their customers, who they thought would be more comfortable if they knew the level of processing. As one respondent put it, “really like hammering home that this isn’t raw sewage. This is a very different thing that has undergone X, Y and Z process to become this thing, and it’s not just poop.”
Diagrams, infographics, photographs, videos and other visual media were frequently mentioned as helpful ways to illustrate the processing and application methods for these amendments, along with in-person demonstrations. One respondent suggested an interactive map could be created showing farms already using these amendments, which users could then select to see photographs and hear interviews from the farmers themselves on their results. They thought these testimonials would normalize the practice by explaining how “this makes sense.” Pushing back against the label of “novel” amendments, some respondents also thought educational materials should point out the long history of reusing human waste in agriculture, highlighting that “this is what’s been going on for thousands of years.”
Some respondents mentioned how they would want to take on the responsibility of showing the breadth of “places where it’s working well” by modeling the practices on their own farm and putting information on their website or social media. One respondent, who heads an educational farm, described how they already bring everyone on farm tours to their composting toilet, and most visitors have a positive experience, with some commenting that their expectations about the smell and cleanliness were changed after using it. To further the farm’s educational goals, they would want to share information about using urine or biosolids biochar: “I feel like we’re very transparent with like how we live, how we manage. We have …very detailed stuff on our website…We would say this is how we do it, just to educate people too.”
Other farmers had some skepticism about how transparent they could be and weren’t sure if they would highlight their use of these amendments with customers. One respondent noted that even though their customers may have had positive experiences with using the composting toilet at a nearby educational farm, they would still be hesitant to tell customers about using these amendments because they didn’t think those good feelings would necessarily translate over when those customers would have to confront the topic more directly and think about these amendments being used on their food: “They’ll get down with a… composting toilet thing at like, the nonprofit farm, but… I think it’s like a little too much for people sometimes. Like if we were like, ‘Yeah, we’re using urine and humanure at our farm,’ that could– just confuse people ‘cause it’s too close to home.”
When it comes to customers who may be uncomfortable or have many concerns, some respondents doubted how effective education could be. As one respondent put it:
They come in already believing what they believe… So I don’t really think that there is something like information on our website or whatever that could change anyone’s mind…at all. Like I think the people who that appealed to would have to already be kind of open-minded to it.
Others echoed this sentiment about following a kind of path of least resistance when it comes to education, and focusing on those who are already exhibiting curiosity. Many respondents mentioned that their customer base tends to be open-minded in general and receptive to the “language of research,” but also stressed that information shouldn’t be dry and inaccessible. One respondent thought it would be helpful to initially draw people in with humor: “You can move away from the potential squeamishness by kind of like almost making fun of it.” Another described how they would use popular culture to ease uncomfortable customers by referencing the main character in The Martian growing potatoes with his own poop.
Regulation: We did not use sub-codes for specific ideas about regulation, but each respondent was asked how they thought these amendments should be regulated and by whom. The results indicated considerable confusion and uncertainty. Many respondents mentioned that they are not sure whom they can trust to regulate or provide certification in a transparent and credible way. On the other hand, many feel some type of regulation would be important. For example, one said:
I think there is importance to regulation, [but] …sometimes I wish it were done with a more like, I don't know, more rational way. But I think there is importance to regulation because then we know that a product is, we hope to know that a product is doing what it says it's going to be doing and it's helped with those standards. And that if we're buying it from a source that is regulated versus a source that's sort of flying under the radar, then we're at least given that information to make those choices and take that risk….
Several cited the current government priorities as affecting their thinking about the credibility of the regulatory role of government agencies. Others mentioned what they felt was unnecessary bureaucracy, and regulators not really understanding farmers' needs. Some indicated prior negative experiences in this regard. When asked whether they would prefer state versus federal regulation, again, most respondents were unsure. For example, a typical response went something like this:
Yeah, good question. I don't know. I mean, yeah, I guess when I originally interpreted your question, I was like, universities should be doing, you know, should be running the tests. But yeah, I don't, I don't really have an answer for that. I mean, I think some sort of independent or, I don't know, I don't know, I wish everybody like… [trails off]. I trust, I trust a lot. But I think that some people aren't trustworthy, I guess, I'm learning in my old age [laughs]. So yeah, unfortunately… maybe it is university… independent, like, you know, that go out there and get paid to, you know… I don't know, I don't know. I don't know!
Generally speaking, however, most respondents seemed to lean toward some sort of independent body providing regulation and/or certification for these products. There was some movement away from, or less emphasis on, the value of organic certification than might have been expected. Many interviewees had experienced financial and logistical barriers with organic certification and think these amendments might need to be regulated through a separate entity.
Community Research Results and Discussion - Surveys
Below are results from the quantitative survey questions from the combined Vermont and Long Island surveys, including both dialogue group participants and those who did not participate. Some differences between the latter groups are noted in the discussion. Thirteen participants from the Brattleboro field day, ten participants from the Long Island Field day, and four more from each site who participated in a dialogue group filled out surveys. The survey addressed the participants’ most important indicators of soil health, most important factors when choosing a soil amendment, and finally their acceptance and ranking of using synthetic fertilizers, compost, urine, biochar from woody biomass, biochar from biosolids, and biosolids as a soil amendment.
Results:
What are your most important indicators of soil health? (Check all that apply):
|
Plant health based on observations |
90.32% |
|
Soil fertility based on soil tests |
77.42% |
|
Soil texture or tilth based on observations |
77.42% |
|
Soil organic matter based on soil tests |
64.52% |
|
Soil life based on observations |
54.84% |
|
Soil life based on observations |
35.48% |
|
Microbial activity based on soil tests |
35.48% |
Other (please specify) |
3.23% |
Notes: The most important indicator by a wide margin was plant health based on observations, followed by soil fertility based on soil tests and soil texture or tilth based on observations; microbial activity and soil color showed less importance. This was consistent throughout at both sites and among those who participated dialogue groups and those who did not.
What are the most important factors when you choose a soil amendment?
|
Effects on soil health? |
90.32% |
|
Cost? |
87.10% |
|
Sources? |
61.29% |
|
Organic certification? |
25.81% |
|
Other (please specify) |
12.90% |
Notes: Soil amendment cost and effects on soil health emerged as the most important factor; organic certification was less important. This was consistent at both locations and whether or not respondents participated in a dialogue group.
Add any other thoughts on questions 2 or 3? (Optional)
- “Do you need certain machines to use urine? Are all the study/tests that have been done on tilled soil?”
- “I prefer amending soil with as local and natural and resourceful sources as possible, e.g. urine, ash, burnt bones, compost.”
- “Preferably sources that are close to the farm - local sources of compost that is processed appropriately would be best.”
After what you have learned today, would you consider using the following amendments in your soil amendment program?
Notes: Every respondent concluded that they would consider using compost as a soil amendment: urine and biochar from wood biomass were both well accepted; synthetic fertilizers and biosolids were met with the least acceptance: biosolids and biochar from biosolids were met with the most uncertainty.
Please rank amendments in order of your personal interest in using them in your soil health program (not considering cost and availability).
Notes: Compost had the most acceptance, biochar from wood biomass and urine next; biosolids biochar in the middle; synthetic fertilizers and biosolids last.
Do you think biosolids biochar should be encouraged as a soil amendment (regardless of whether you would use it personally)?
|
Yes |
68.97% |
|
No |
0.00% |
|
Unsure |
27.59% |
|
Other (please specify) |
3.45% |
Notes: While not everyone might want to use biosolids biochar as a soil amendment themselves, they still encourage the use of it. This may reflect an understanding of its potential usefulness after more testing. A large portion of respondents, however, remain uncertain.
Add any other thoughts on questions 4, 5 or 6 (optional):
- “But not sure about biochar from woody material. I'm not sure we should be making biochar at the expense of compost, chips, mulch, etc. (These feed the soil, which seems to me more important overall.) I think of perhaps using biochar in small quantities on a farm in potting mixes maybe as a fertilizer converter. But I acknowledge I still have questions and I am not an expert on it.”
- “I would most likely look for a mix of them, except biosolids.”
Discussion:
Survey respondents overwhelmingly identified plant health based on observations as the most important indicator of soil health, followed by soil fertility based on tests and soil texture or tilth based on observations. Indicators like soil organic matter and soil life held moderate importance, while soil color and microbial activity were seen as less critical. These preferences were consistent across both geographic locations and whether or not respondents participated in dialogue groups, suggesting shared priorities in soil assessment practices among participants in these field days.
Importantly, while participants did not emphasize soil color and microbial activity in the surveys, these are closely tied to soil organic matter and cation exchange capacity (CEC). For instance, higher organic matter levels usually darken soil color and increase CEC, which in turn affects nutrient retention and pH stability. Soils with lower CEC tend to be more prone to nutrient leaching and pH fluctuations. (The in-depth interviews, in contrast, revealed significant interest in microbial activity, with some farmers making considerable effort to learn more about this in recent years, and many interviewees also indicated their observations of soil color was important.)
When it came to selecting soil amendments, the two most important factors for survey respondents were clearly effects on soil health and cost, with over 87% of participants selecting these. Other considerations like the source of the amendment were moderately valued, while organic certification was deemed relatively unimportant. Actual performance and affordability were prioritized over certification labels. This may reflect uncertainty about certification and regulation as reflected in the in-depth interviews.
In terms of willingness to use specific amendments, compost stood out with 100% acceptance. Biochar from woody biomass (93.55%) and urine (80.65%) were also widely accepted. However, biosolids and biochar from biosolids were met with lower acceptance and higher levels of uncertainty, and synthetic fertilizers received the least support. Despite the tentative responses, a majority (nearly 70%) agreed that biosolids biochar should be encouraged as a soil amendment option, suggesting an understanding of its potential benefits even while there may be uncertainty about its sources and an interest in further data. Personal ranking data echoed these trends: compost was by far the most preferred amendment, followed by biochar from woody biomass and urine. Synthetic fertilizers and biosolids consistently ranked lowest.
A significant finding from the survey data, also reflected in the interviews, is that most participants were unsure about both biosolids and biosolids-based biochar, and their opinions didn’t change, even after receiving more information through information sheets or dialogue groups. Given that most still felt biosolids biochar should be encouraged as a soil amendment, this suggests that their uncertainty primarily reflects the need for more information and data, rather than rejection of the concept of biosolids biochar. The types of data participants would like to see is reflected in this comment from one dialogue group participant:
[I would] like to feel confident that looking at the indicators on a test is actually backed up by much more detailed research looking at a wider array of things that actually like track the fate of what happens to them in the soil. Like do they run off as water infiltrates? Do they get bonded to like parts of the biochar and just stay there in soil? How much, what do the plants, different types of plants uptake? Like can bioconcentration be a risk for any contaminants? Just all the possible complicated things that can happen.
In the interviews, during which participants had more opportunity to explain their thinking, various concerns were elaborated as described earlier. Nonetheless, most respondents were intrigued by the concept and eager to learn more as more data becomes available.
More education and exposure may help people feel more comfortable with the idea of using biochar made from biosolids. At the same time, the dialogue group results show that more information can also make people more cautious, not necessarily more accepting. During the dialogue groups, respondents gained more clarity about what biosolids biochar is, and these may have affected these results. Further research, some of which will be conducted in the next two years through the FFAR study, may help elucidate the impact of educational materials and additional data on acceptance. For example, one dialogue group participant said they might use biosolids biochar on any crop, "once I understand it a little bit better.… I think that the making it into a biochar will make it safe…. But I really want like an independent study done that shows me exactly what's in it, exactly what the risks are." Nonetheless, unknowns about sources of biosolids biochar remained a concern for some participants: "I mean, certain places though, like industrial cities, like they've been pumping heavy metals out of their smoke stacks for years and like all of the ground is, like… it's completely covered in heavy metals."
Interestingly, among field day participants, synthetic fertilizers were generally viewed just as negatively as biosolids, indicating a clear preference for more natural or local soil inputs in this group. Some respondents were unsure about biochar from other biomass including wood, but noted in their comments that this might have more to do with the idea of making biochar at the expense of compost, rather than direct concern about the biochar as an amendment.
Some differences between dialogue/no dialogue and Vermont/Long Island surveys
Comparing responses at the two sites, there was a higher rate of acceptance of urine among those who had taken part of the dialogue group compared to those who had not. The dialogue group responses ranked using urine as a soil amendment as a 2.38 on average (with 1 being the highest and 6 being the lowest), putting it in second place after compost and tied with biochar from woody biomass. Among those who did not participate in a dialogue group, the surveys from the Vermont field day still showed a high acceptance of urine with an average of 2.84, still in second place. Long Island surveys indicated less comfort with urine, as their average rating was 3.98, behind compost and biochar from woody biomass.
When looking at the acceptance of biosolids biochar and biosolids, the least acceptance was among those who took part in a dialogue group (at both sites) followed by the Long Island non-dialogue group surveys. The highest acceptance of biosolids biochar was among non-dialogue group participant respondents in Vermont. These results could be due to current understanding and knowledge among Vermont participants who potentially were more familiar with the work of Rich Earth Institute. The field day in Vermont also focused primarily on the results of this study, while the Long Island field day also included focus on several other soil health studies, potentially affecting responses.
Dialogue groups provided opportunities for further discussion of biosolids biochar including current "unknowns" regarding sources of inputs. This may have influenced outcomes. Given the relatively small number of dialogue group participants (4 at each site) results could also be reflective of individual differences and dynamics within the groups. For example, in the Vermont dialogue group, one participant expressed significant doubts, saying:
I'm not even looking for this product [because I already have the amendments I need] but I can tell you, I'll never even consider it unless it has very clear markings that it's safe and what it's going to add to my soil and the benefits of it… like NPK, micronutrients, and like, definitely like low or no heavy metals, all that kind of stuff. In terms of labeling.
While this individual's concerns may have affected fellow participants' survey responses (i.e. increasing uncertainty about biosolids biochar), the advocacy for safety and nutrient information and labeling was shared by many interviewees as well, including those with more favorable responses.
SOIL HEALTH
A recurring concern, raised by farmers interviewed in a previous SARE project (SARE ONE22-426), has been about whether the use of urine-derived fertilizer causes any negative impact on soil health. In this study, field application of human waste-derived soil amendments (including urine and biosolids biochar) to silage corn in NY and VT showed no detrimental effects on crop yield or soil health when compared to conventional fertilizer applications. This result agrees with findings from other multi-year studies of the use of human urine as a fertilizer, which demonstrated that N applied through urine is a suitable substitute for N applied through synthetic fertilizers (Hansen et al., 2026;Tang and Maggi, 2016). These findings provide evidence that the reuse of waste streams as agricultural amendments is a viable approach to meeting crop and soil health needs while avoiding the negative impacts of synthetic fertilizer production and transportation, thereby promoting both agricultural and environmental health simultaneously.
Crop yields were generally associated with mineral N inputs. Treatments receiving only mineral-N (U and SN) generally showed higher rates of N plant uptake (as crude protein) and lower levels of soil-bound N (as soil protein) than treatments where a portion of N needs were met through organic N inputs from compost. This suggests that N applied through compost is less available for plant use during the corn growing season. This study did not account for differences in total N utilization efficiencies in the amendment application rates, which may have led to an underapplication of N in treatments receiving compost.
Benefits to soil health were largely associated with compost additions. NY soils receiving compost generally showed improved organic matter (OM) and soil organic carbon (SOC), underscoring the importance of regular organic carbon applications in sustaining these key elements of soil health. Compost-driven benefits to soil health were only present in the carbon-constriained, sandy soils at the NY field location, however, indicating that baseline soil conditions influence the soil health response to carbon additions.
When compost was applied in combination with urine in the C + U treatment, soil health (specifically SOC, OM, active carbon, and soil respiration) was significantly higher than the no fertilizer control, while the same measures in the SN, U, and C + SN treatments were not significantly higher than the no fertilizer control. This suggests a positive combined effect on soil health from the co-application of both organic N and labile carbon from compost along with inorganic N from urine. These findings support those of Hansen et al. (2026), who found that mineral fertilizers alone–including human urine–can sustain crop productivity but do not provide benefits to soil health associated with carbon inputs, and recommend that a combination of both mineral and organic amendments be used to most effectively support soil and crop health.
There was no evidence of a synergistic effect on soil health from the co-application of urine with recalcitrant, biochar-based carbon as hypothesized. One explanation for the lack of a urine–biochar synergy could be that biochar was added in low quantities (⅓ of the annual C requirement), and that this quantity applied over three years was not enough to significantly affect soil health. However, BB + WB + C + U had a higher soil health score than the unfertilized control, whereas all other treatments with the exception of C + U did not, indicating a possible synergy from the addition of both labile and recalcitrant carbon along with both organic and inorganic N.
Building soil health is a multi-year endeavor, and the literature suggests that improvements in SOC and OM can take decades to respond positively to sustained organic matter inputs (Hansen et al., 2026; Johnston and Poulton, 2018; Krause et al., 2022). This study found that improvements to soil health can be seen in as few as three years following annual carbon and nitrogen inputs. However, SOC was still low (<1.5%) in both locations after three years, indicating that continued carbon inputs are necessary. Our trial will continue for another two years through funding from the Foundation for Food & Agriculture Research, and will conclude with another round of soil health testing, plus soil microbial analysis.
COMMUNITY RESEARCH
The community research conducted for this project revealed that many respondents were familiar with the idea of using urine in agriculture, and most were familiar with biochar in general, but unfamiliar with biochar made from biosolids. Even with considerable explanation (and provision of a glossary defining terms during dialogue groups) many continued to misinterpret the phrase "biosolids biochar," and thought we meant biochar from woody debris, biochar from source-separated human solid waste, or un-charred biosolids. This may suggest the need for alternative terminology, though the confusion may be ameliorated through educational materials that illustrate sources and processing.
With regard to comfortability with the idea of using these amendments, many felt quite comfortable using urine, but postulated that "others" might not be comfortable, and that considerable education would be required. This aligns with Rich Earth's prior research findings concerning “ascribed attitudes," namely that people often report being personally comfortable with the idea of urine-derived fertilizer, but speculate that others will be less comfortable with it. This suggests that there may be less discomfort with the use of urine in agriculture than many imagine, since the discomfort is most often ascribed to others. Comfort level with potentially using biosolids biochar was more varied, with a few respondents quite uncomfortable and many postulating that others would have a low comfort level as well. Some respondents were interested, but felt that biosolids biochar was not right for their own farm at this time.
Among several interviewees, there was interest in obtaining equipment to make their own "biosolids biochar" from their on-farm human waste; that is, they would like "biosolids biochar" but only if it was made from source-separated human waste (collected from themselves, or from neighbors in a community), as opposed to being made from the biosolids produced at a municipal or regional waste treatment facility.
A significant finding from this research was that farmers who are already oriented towards a philosophy of "closing loops," which was a large proportion of our respondents, cite this as a key reason for their interest and potential motivation to adopt these amendments. Some of these respondents see themselves as educators (and three of our respondents described their operations as educational in nature, at least in part) and would want to champion these amendments once they felt satisfied with their safety and effectiveness. For example, one director of an educational farm said:
I think this ties into that whole world view of trying to close the loop on our systems as best as we can. And by that I mean like we're not just sending waste away and saying, "okay, it's out of sight out of mind," [but instead] finding a way to recycle it or reduce…[and] then bring it back into the land… we don't think of our animal manure as waste…. It goes into the compost pile and then it turns into soil…. So it's interesting that the manure that is coming out of us is like, is waste or it goes out of sight out of mind. And yeah, so I think …there's room to shift how we think about that…. We're trying to set up systems that show different ways of farming and different ways of interacting with the land. So I think this fits into that picture as well.
In addition to, or related to, the idea of "closing loops," access to a local source of either urine or biochar was an important motivation for many. Among field day participants, there was strong interest in local sources and natural amendments as opposed to synthetic fertilizers. And although the cost of amendments was clearly a critical deciding factor for most respondents, several would weigh the cost against long-term benefits, and emphasized the importance of this long-term view. As one respondent put it:
Cost is always a factor, right? But like, truly the way we try to arrive at our decision makings is…what's the highest good? We use that all the time. So like we think [not just for today, but] like 10 to 100 years. So cost is always important in some ways, but it's not just only the number one driving factor. It would be truly like, how is the thing made? … What legacy is it leaving? Is it leaving a positive legacy or negative legacy?
While there is interest in potentially championing these amendments, many would like to see how they are working on other farms, both in terms of yields and improvements in soil health, particularly for biosolids biochar. They would like to see trials done with different crops on farms in a range of soil types and climates. One suggested that, once trials were complete, an interactive map showing photographs and interviews from farmers already using the amendments would be useful.
The most frequently asserted concern from almost all interviewees and participants in dialogue groups was the potential for contaminants, with worries about PFAS top of mind (and many speculated this would also be a concern for their customers). Respondents seemed to be more concerned about contamination in biosolids biochar compared to biomass biochar or urine, because of the mixed-stream production method.
With regard to soil health, many of our respondents emphasized that their goals included building soil health over time, and several specifically indicated that the health of the soil microbiome was important to them. Many were aware of the benefits of biochar, such as its ability to help build soil over time and retain nutrients and moisture, which was a motivation for considering biosolids biochar. Participants located in regions with sandy soils or otherwise lacking in organic matter were particularly interested in the long-term potential of biochar additions, whether from biosolids or other biomass.
A potential barrier to adoption of these amendments was regulatory. For those interested in organic certification, its limitations could constrain their ability to participate. Others expressed general confusion and uncertainty about how or by whom these amendments should be regulated, while at the same time desiring rigorous testing and standards. A general preference was noted for some type of independent certification. Scale of operation was another potential barrier, as was crop type, with a preference for use on non-food crops.
Development of educational materials on these amendments for farmers, their customers, and the broader public was strongly encouraged (although some respondents expressed doubts about whether education could actually change minds). Participants suggested visual media such as diagrams, infographics, photographs, and videos that would address safety and effectiveness, and illustrate the processing and application methods were suggested, along with on-farm demonstrations.
Overall, despite some concerns and potential barriers, there was considerable interest in both urine as a fertilizer and the concept of biosolids biochar, as well as recognition that finding a beneficial use for human waste is imperative. One farmer's comment illustrates this perspective:
I would say on the whole, I'm very supportive of the research that you guys are doing and the potential for diverting these waste streams and making something useful out of them and closing the loop is absolutely something that… I want to see happen soon. I don't necessarily know that our farm, because of …our scale and also …our marketing strategy and the types of things that we're producing, I don't necessarily know that we would be an early adopter of human derived fertilizer products, but I think… there's loads and loads of potential maybe in other types of farms that aren't necessarily a market garden style and are more… non-food crops or something like that would be really good.
Final Takeaways
- Farmers are strongly motivated to improve soil health over time and many were intrigued by the potential of biosolids biochar to improve soil health characteristics in the long term.
- Urine can be substituted for synthetic fertilizer without causing changes in yield or soil health, and a biosolids biochar/wood biochar blend can be substituted for straight wood biochar without significantly affecting yield or soil health.
- Farmers were open to the idea of using human waste derived amendments as a way to "close loops," and felt that finding alternatives to current methods of managing human waste is important. Some farmers were more interested in finding ways to use unmingled human feces (for instance from composting toilets), rather than using biosolids biochar that was derived from a mixture of all the different materials present in sewage.
- Co-application of compost and urine to the sandy soil of the NY field site significantly improved soil health compared to no fertilizer, synthetic nitrogen, urine, and urine + biochar.
- Farmers are concerned with potential contaminants in fertilizers and amendments so the potential for pyrolysis to reduce contaminants in biosolids was appealing; they would like to see contaminant data on specific batches of products.
- Human urine was as effective a fertilizer as synthetic nitrogen, but urine alone did not benefit soil health. However, combining urine with other amendments does improve soil health depending on prior soil conditions.
- Further exploration of the potential of biosolids biochar as a soil amendment is warranted, based on farmer opinions and field trial results; more data is needed to fully understand the costs and benefits of pyrolysis of biosolids as an alternative method of managing human waste.
- If biosolids biochar is to be used as an amendment, farmers would like to see transparent and accessible information about input sources and processing methods.
Education & outreach activities and participation summary
Educational activities:
Participation summary:
- We included discussion of this project during our annual Rich Earth summit, at which a number of farmers and agricultural service providers were present. We described the project in a slide presentation (Farm Guide to fertilizing with Urine - Farm Guide to fertilizing with Urine - Summit Presentation 2024.pptx- whose main focus was the farm guide to urine fertilization produced during a prior SARE project), and answered questions from attendees.
- We discussed the project as part of a listening session held by the Rich Earth Institute at the Urban Soils Institute symposium in New York City (November, 2024). (The listening session itself was part of our complimentary Foundation for Food and Agriculture Research project.) Twelve participants attended this listening session and learned about this research, including several farmers, community garden coordinators, and agricultural service providers.
- A presentation on this project titled “Closing the Bionutrient Loop with Biochar: insights from field trials in the Northeast” was given at the North American Biochar Conference in February 2024. Approximately 80 people attended the presentation. https://drive.google.com/file/d/1tL0-eo1B6XbqE0gmP31tbrGuoq2zeKl1/view?usp=sharing
- This project was discussed in two “Farmer Field Day” events, one held at the field trial site in Brattleboro, VT (July 10, 2025), and one held at the field trial site at the Cornell University Long Island Horticultural Research and Extension Center in Riverhead, NY (July 22, 2025). The VT event had 17 attendees, and the NY event had 27 attendees. Two educational materials were developed for these field days: a project summary sheet and a glossary of terminology relevant to the project (see Information Products).
- Project team members discussed this project as guests on episode 154 of the Growing for Market podcast. https://growingformarket.com/articles/the-fertilizer-you-make-every-day-fertilizing-urine-the
- We discussed this research at a lunchtime roundtable discussion at the VT NOFA Winter Conference in Colchester, VT (February 14th, 2026)
Planned outreach:
- We plan to submit manuscripts of this research for publication in an academic journal (Renewable Agriculture and Food Systems), and the trade literature (Cornell Quarterly Publication and Growing for Market written publication). We are also considering publications in Biocycle (popular press), the Suffolk County Agricultural News (published by CCE Suffolk), and the newspaper of the Vermont Department of Agriculture, Agriview.
- We plan to present findings from this research at the New York State Organics Summit in Syracuse, NY (April 14-15, 2026), as well as the Vermont Organics Summit (March 26, 2026).
- A proposal for the Vermont Organics Recycling Summit has been accepted for a tour of the Rich Earth facility and presentation of this research. This event will take place March 25th.

Learning Outcomes
Advisory Committee members met five times, learning about the project and the potential benefits and risks of biochar created from biosolids. They were kept apprised of results from the field trials and emerging trends and themes from the social research. Two of the members of our Advisory Committee were farmers, three were agricultural service providers, and two were educators. Types of knowledge the AC members gained included:
*interest of farmers in use of both urine and biosolids biochar
*concerns these farmers expressed
*farmer recommendations for ongoing research
*farmer information needs
*farmer recommendations for educational materials, both for themselves and for customers
*crop and soil response to novel amendments compared to conventional amendments in field trials
*soil health study results that they can now share with colleagues and farmers they work with
An example of the type of responses we experienced from farmers and agricultural operators who participated in the study is this quote from a greenhouse operator, involved with Farm Bureau on Long Island:
Right now, the biggest problem [in utilizing resources reclaimed from sewage treatment] is the solid waste…. the avenue of taking that to biochar really would solve a lot of problems because that’s the number one problem that everyone has is the PFAS situation, okay? And that’s what fears everybody out there completely. Utilizing your idea is phenomenal and it can really be implemented in a lot of different situations. The largest aspect where it’s going to be a problem is on any food commodities. I don’t know how it is in Vermont. I know New York with FSMA and some of the food regulations … we don’t even want to bring it up with them….
The knowledge this participant gained from the interview process and educational material provided through that process will help them speak with regulators and others about these novel fertilizers and amendments as the research towards their adoption and implementation continues.
A participant in one of the dialogue groups similarly noted:
I will say from the wastewater perspective… source separating urine like this just makes all the sense in the world. It's like how we should have designed [laughs] our like modern wastewater system from the beginning because most of the wastewater treatment process, so much of it is just separating the solids from the liquids. And if you are recovering like nutrients and material in the wastewater treatment process, you are often like, you know, installing this incredibly complicated and expensive to operate process to separate out nitrogen, sometimes phosphorus too, like none of those are quite commercially viable yet. But if you source separate at the beginning, you already have this, you already, you already have a usable fertilizer in the beginning. It's just, it's just the, it just makes so much sense. It's just hard to go back and implement source separated toilets everywhere in the country and redesign all our infrastructure. And also on the biosolids side, like what to do with the solid material once it's been separated from the liquids is, it's really, that's like one of the biggest challenges for wastewater treatment plants now. Because they're, it's getting more, as I'm sure you know, it's getting more and more expensive to landfill things…
This indicates that the knowledge these participants gained through the research process will enable them to integrate their new understanding of the potential for human waste derived products to be part of the solution to these ongoing waste treatment challenges.
Project Outcomes
The Rich Earth Institute received a grant to build upon the work in this project (SARE LNE22-453R) from the Foundation for Food and Agricultural Research (FFAR) for $2,008,248. Funds will be distributed to sub awardees from Cornell University, the University of Michigan, and the Cornell Cooperative Extension of Suffolk County.
FFAR work will extend SARE soil health field trials from three years to five years, and include soil microbial analyses through amplicon sequencing and PLFA analysis for years one and five. Social research will be expanded in this project to include concerns and attitudes on the use of biosolids biochar from a range of stakeholders (not only farmers) through additional listening sessions and interviews. It will also allow further analysis of the social research data gathered from farmers. In addition to field trials and social research, FFAR will investigate the potential for biochar to address issues of contaminant removal and nutrient recovery from waste streams. That grant will also enable production of some of the educational materials farmers in this SARE project recommended.
A landscaper in Western Massachusetts remarked:
I don’t have concerns with these kind of things personally, I feel like…it’s probably long overdue, and we-we better be doing these kinds of things cause like- you know, we’re kind of rapidly depleting the planet of resources, so if we’re not recycling waste that could be resources I don’t know how many resources we’re gonna have left in ten, twenty, fifty years, so I - you know I have no concerns with it I think we need to be investing time and energy into the research of these sorts of things in order to exist as a species on the planet to be totally honest.
This reflects a common experience we found with our interviewees, in that, while there were some concerns, there is broad awareness of the necessity of finding safe and effective ways of managing our human waste, with regard to both urine and feces. Interviewees did, however, provide us with a rich understanding of their concerns, recommendations, and information needs which will inform our ongoing research on these amendments, and best practices for their further development and adoption.
The field trial research design employed by this study provided a comparison of soil health effects across many combinations of C and N inputs, and provided robust field data with little variability. Five replicates of each treatment were established in each location, and this high number of replicates, along with consistent methodology from year-to-year, were key to our confidence in the data collected.
One challenge to the field trial design was the balancing of P applications from biosolids. Given the high levels of P in biosolids biochar, the rate at which it could be applied to farmland without overapplying P was much less than what had originally been planned. Our solution involved a blended application of both wood biochar and biosolids biochar, rather than a pure biosolids biochar application. While this approach modeled the scenario most applicable to farmers, it did not allow for a direct comparison between biosolids biochar and wood biochar as originally planned. The study design also did not allow for the detection of synergistic effects between biochar and urine, as there was not a treatment with only biochar applied.
Another limitation to the field study design was its relatively short duration. Benefits to soil health can take many years to detect, and it is possible that changes to soil health indicators would be observed if the study were extended beyond 3-5 years. Additionally, we did not set up our statistical models to analyze for significant effects across years or location, or to analyze for significant correlations among specific soil health and yield variables. Further analyses such as these may be useful to include in future publications of this data.
Another aspect of soil health not investigated in this study was an evaluation of soil contamination. Farmers have expressed interest in understanding whether there are long term contaminants that are a threat to human and environmental health in waste-derived soil amendments. While addressing this need through the application of amendments with lower contaminant loads than conventional biosolids, we did not directly monitor the presence of contaminants in amendments or soils in this study. In addition to soil contamination data, there is a need to contextualize the data in such a way that it can be used effectively in offering safe guidance for the application of soil amendments. The social research component of this project raised the question of who should oversee the guidance and regulation of human waste-derived soil amendments, and expressed the need for trustworthy and independent testing services for contaminant monitoring. Future projects should consider these aspects of contaminant safety.
With regards to the social research, despite extensive recruitment efforts, the people willing to be interviewed for this project were largely already interested in ecological farming methods. For example, 16 out of the 23 interviewees mentioned "closing loops" and "relationships to nature" as key to their farming philosophy, and almost all described themselves as practicing some form of organic or regenerative farming method. Another limitation is that our coding document did not separate out info needs, motivations, or barriers for biosolids biochar versus urine (although the interviews did ask about this separately), so it was difficult to use our coding method to get at whether respondents would need different information for each, about contaminants, for example.
Considering all participants in the interviews, surveys and dialogue groups, the overall sample size was relatively small, so broad generalizations (such as to other regions) cannot be made, but the rich data reported here does provide significant insights into attitudes and perceptions concerning these amendments. We had initially intended to do a wider regional survey, rather than only surveying participants at the field days, but opted for the latter approach because given the "novel" nature of biosolids biochar, we felt that more information and demonstration was needed to provide accurate results on the surveys. Even with this approach, there was still confusion as to what "biosolids biochar" really meant. We had also hoped to have more participants at the dialogue groups (and many more had actually registered) but for unknown reasons, only 4 participants at each field day stayed on for the dialogue groups. This has prompted reflection on how to improve the recruitment process for dialogue groups for the follow-on FFAR study. In order to represent a wide range of backgrounds and experiences, we will likely pre-engage specific people and invite them to participate, rather than trying to obtain a more random sample. There are, of course, pros and cons to each approach, still being considered.
Fortunately, we still have two more years of funding which will amplify the research. The complementary FFAR project enables interviews and dialogue groups with a range of people who have expertise in the areas of human waste diversion and management, community planning and contaminant reduction among other areas. That research will also include farmers who have experienced contamination related to prior use of biosolids, which will enable us to better understand their concerns and recommendations. In addition, we intend to use that time to conduct further analysis of the farmer interviews and dialogue groups included in this SARE project, as we did not have time to fully analyze all the topics discussed. As we draw conclusions from that work we will add it to the report for this project.





